column
Cover & Content
2021, 17(5)
Abstract PDF
Comparison of growth and morphological characteristics of inbred and hybrid families of Micropterus salmoides from Foshan and Taiwan populations
Jiangtao LI, Kaiyu YANG, Xiaotong QIU, Junchao FANG, Feifei HUANG, Xiaolong QIU, Xiaojing LYU, Rishen LIANG, Qingqing LI, Li LIN
2021, 17(5): 1-9. DOI: 10.12131/20200262
Abstract PDF
Effects of feeding Candida ethanolica GXU01 on growth, immunity and intestinal flora of tilapia
Qingzhao LIAO, Fuyan CHEN, Ya QIN, Chanchan HUANG, Luodong HUANG, Peihong SHEN
2021, 17(5): 10-17. DOI: 10.12131/20200258
Abstract PDF
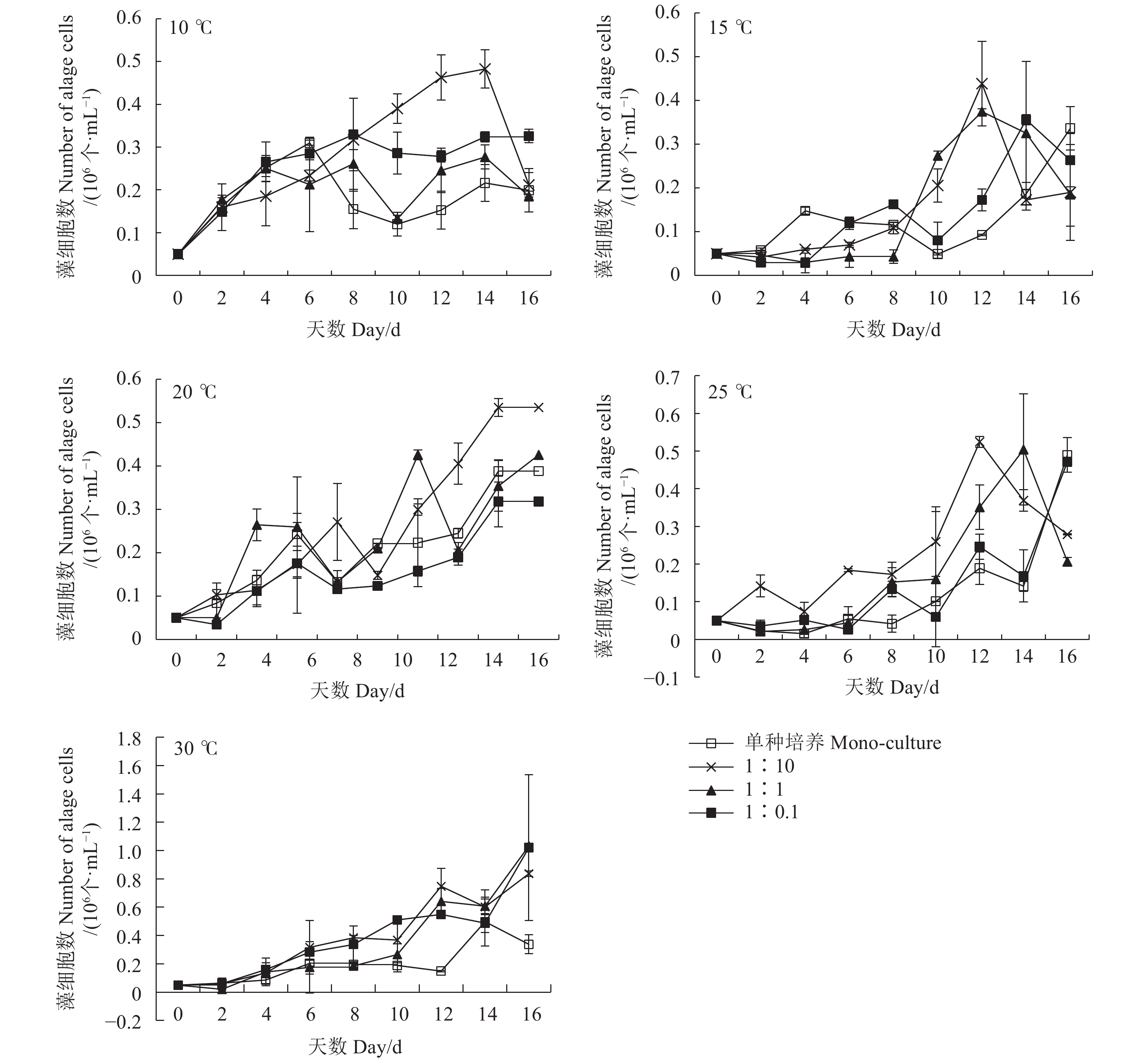
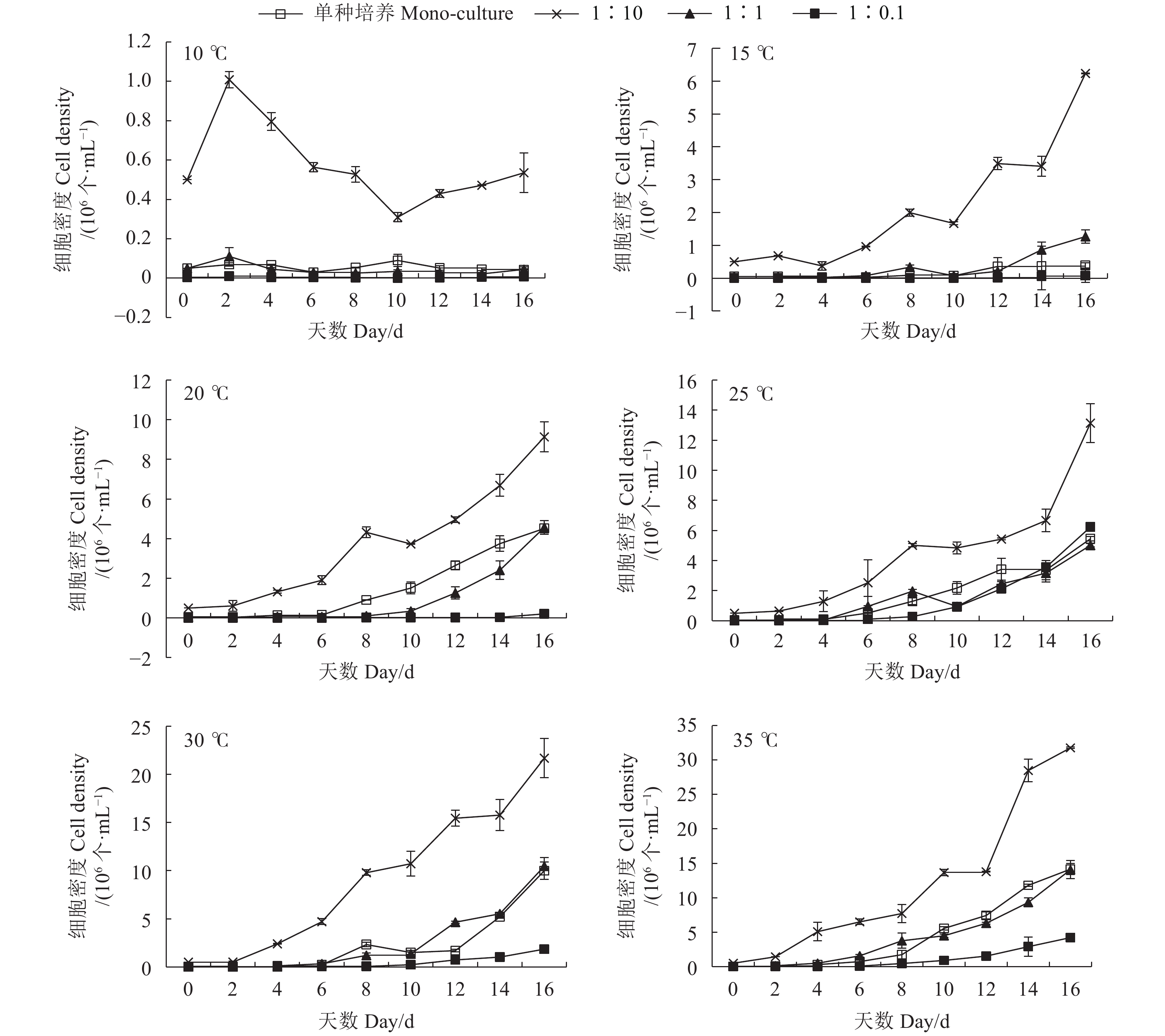
Effects of temperature and initial cell density ratio on growth and competition between Navicula pelliculosa and Chlorella vulgaris
LI Xiaoli, TAO Ling, DAI Lili, PENG Liang, LI Gu
2021, 17(5): 18-25. DOI: 10.12131/20200250
Abstract PDF
Isolation and identification of vibrio resistant photosynthetic bacteria and degradation of nitrite nitrogen and ammonia nitrogen
Yuting WANG, Rongxiang ZHOU, Jihong LI, Yao ZHANG, Tingting ZHOU, Wencai CHEN, Yun PENG, Manli TANG, Guizhen MA, Jianhe XU
2021, 17(5): 26-33. DOI: 10.12131/20210016
Abstract PDF
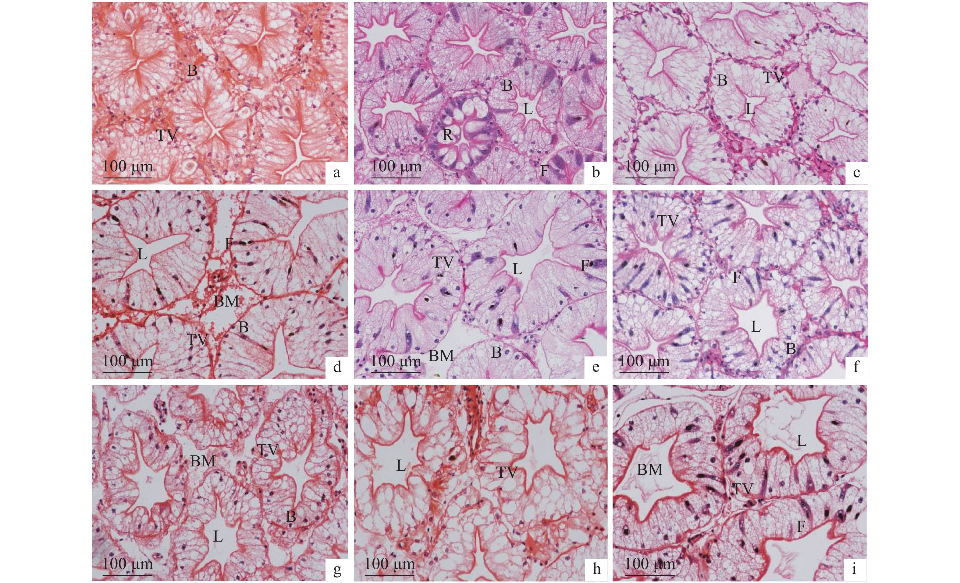
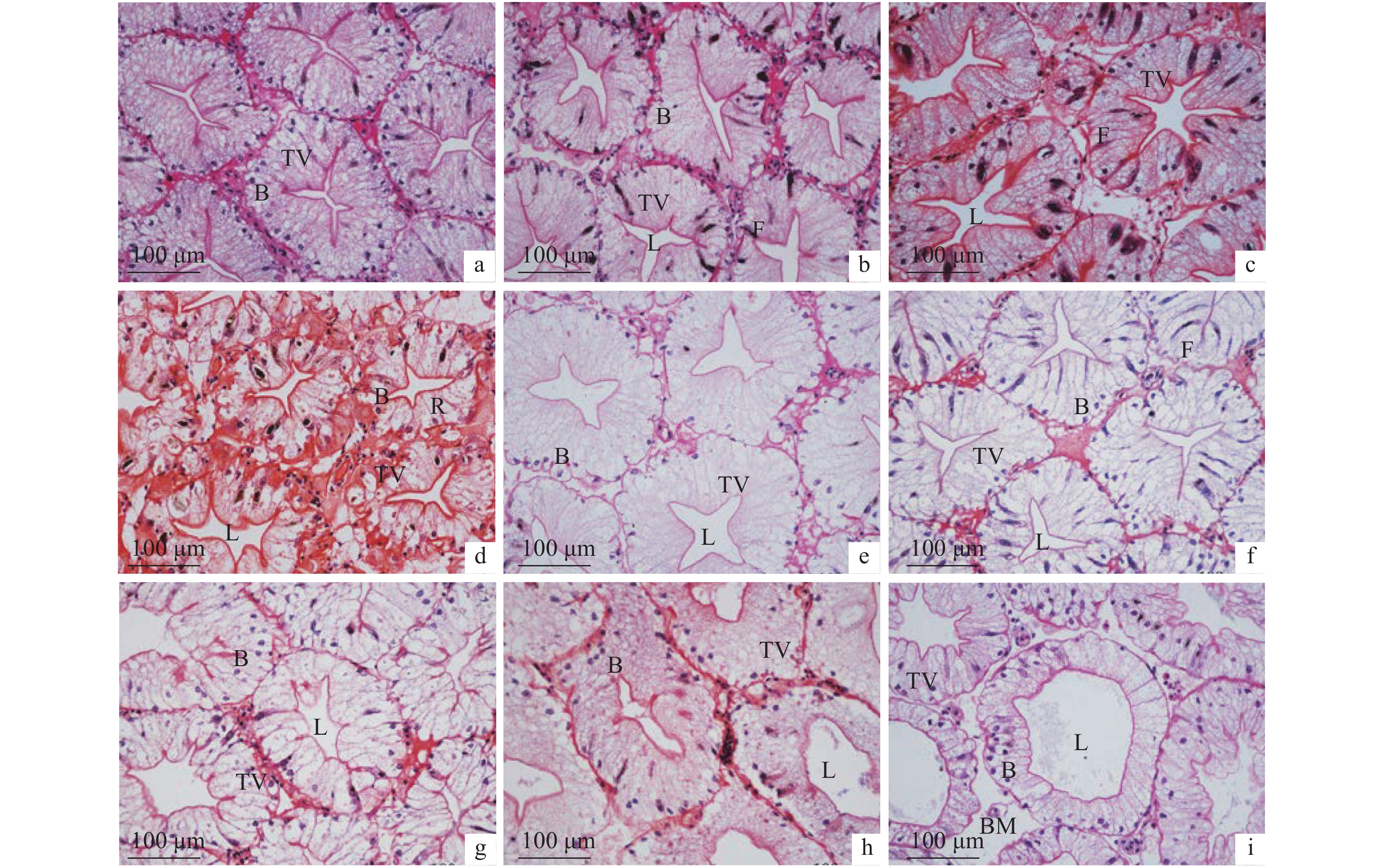
Effects of desiccation on survival, metabolism-related enzymes and histological structure of adult red swamp crayfish (Procambarus clarkii)
Yuanyuan WANG, Yongxu CHENG, Chenlu LI, Mingming LIU, Yewen XI, Chuanzhong ZHU, Jiayao LI
2021, 17(5): 34-44. DOI: 10.12131/20210092
Abstract PDF
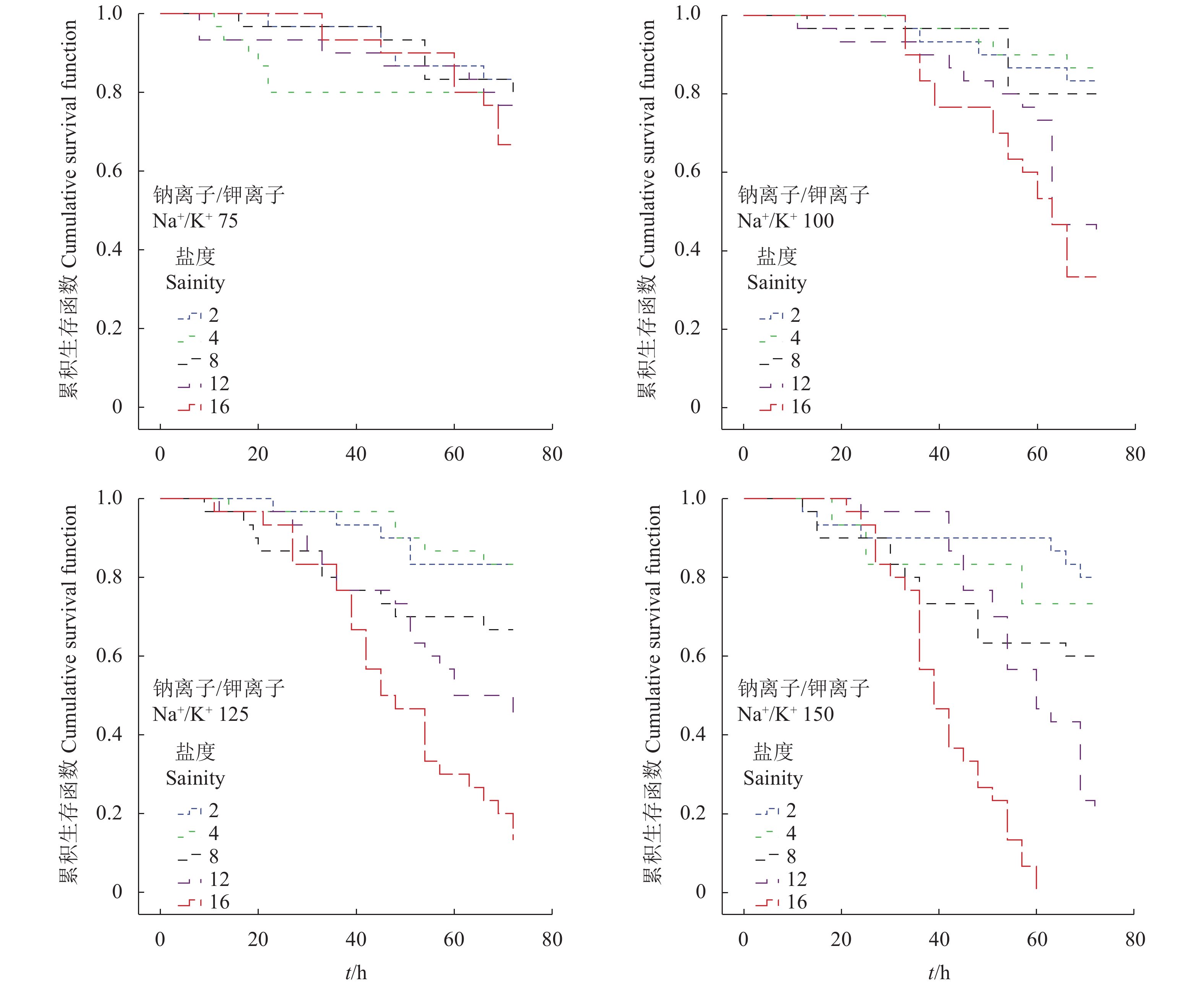
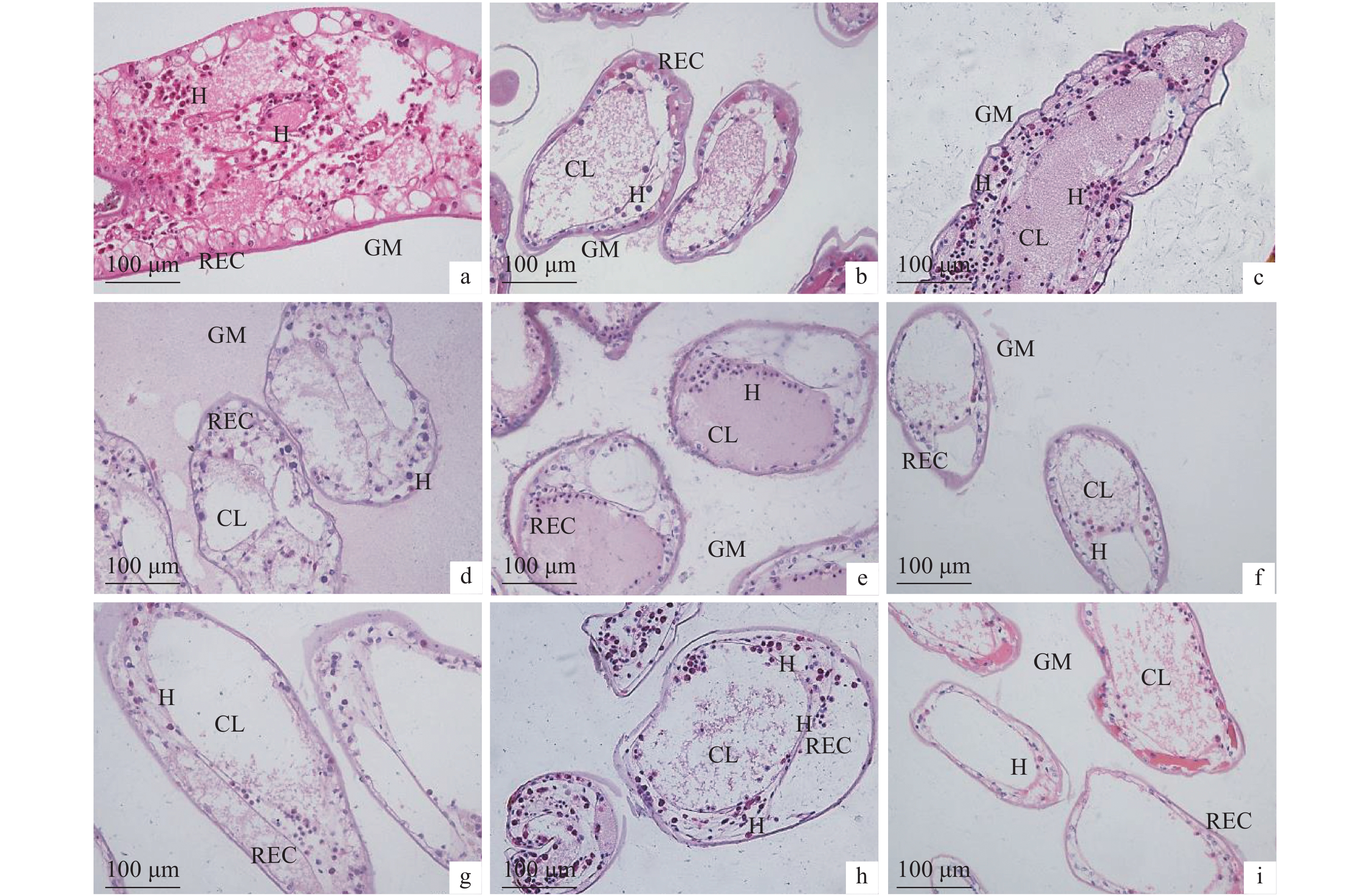
Effects of salinity and Na+/K+ ratio on survival and histological structure of Litopenaeus vannamei
Jiaqi SU, Huaping ZHU, Changbo ZHU, Bo ZHANG, Ting LI, Suwen CHEN
2021, 17(5): 45-53. DOI: 10.12131/20210011
Abstract PDF
Effects of water temperature, photoperiod and light intensity on survival, feeding and growth of Schizothorax biddulphi juveniles and their tolerance of salinity and alkalinity
Nianhua ZHAO, He ZHAO, Zhuang QIANG, Zhulan NIE, Jie WEI, JianZhong SHEN
2021, 17(5): 54-63. DOI: 10.12131/20210001
Abstract PDF
Effects of dietary taurine supplementation in low fish meal feed on growth, digestibility, intestinal enzyme activities of rice field eel (Monopterus albus)
Xiaoli CAO, Zhaolin LI, Yi HU
2021, 17(5): 64-70. DOI: 10.12131/20200255
Abstract PDF
Study on carbonate alkalinity tolerance of Nile tilapia (Oreochromis niloticus)
Yanling WANG, Yan ZHAO, Ming CHEN, Yusong SHI, Jun XU, Shuaishuai LI, Shoujie TANG, Jinliang ZHAO
2021, 17(5): 71-78. DOI: 10.12131/20210043
Abstract PDF
Correlation analysis of light intensity and growth, photosynthetic pigment, color value of Betaphycus gelatinae
Lihao TONG, Xiangyu WU, Liangfu HUANG, Jun ZENG, Yaohua SHI, Xianming TANG
2021, 17(5): 79-85. DOI: 10.12131/20200256
Abstract PDF
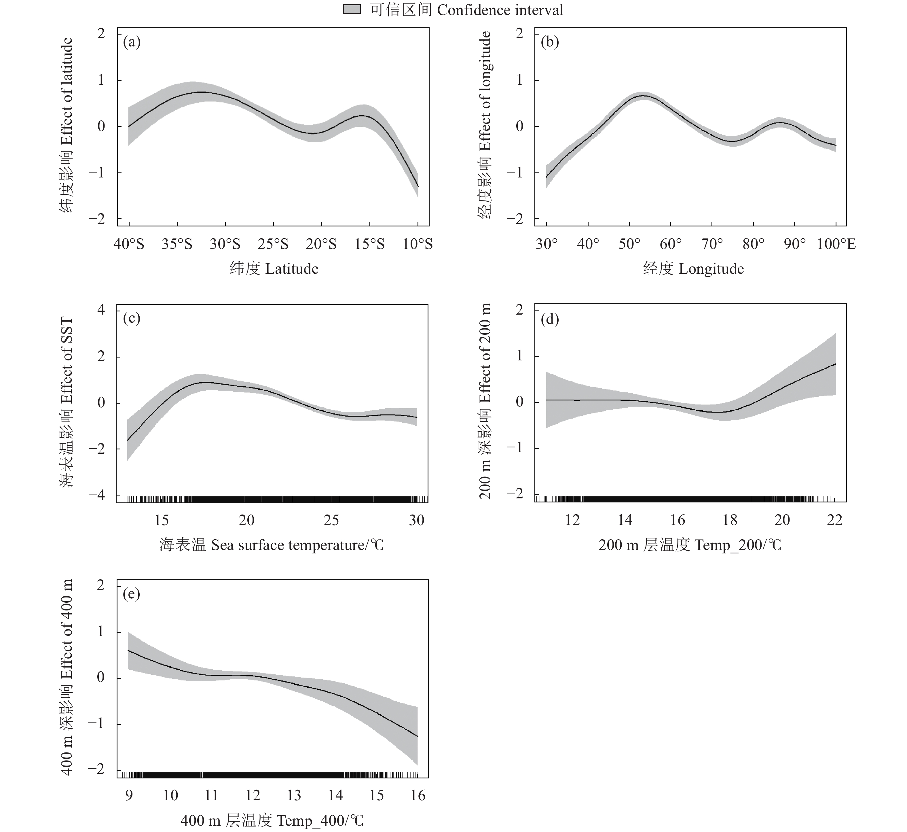
Study on relationship between albacore catch rate and water depth and temperature in South Indian Ocean
Xiaoyan XIE, Jintao WANG, Xinjun CHEN, Pimao CHEN
2021, 17(5): 86-92. DOI: 10.12131/20210018
Abstract PDF
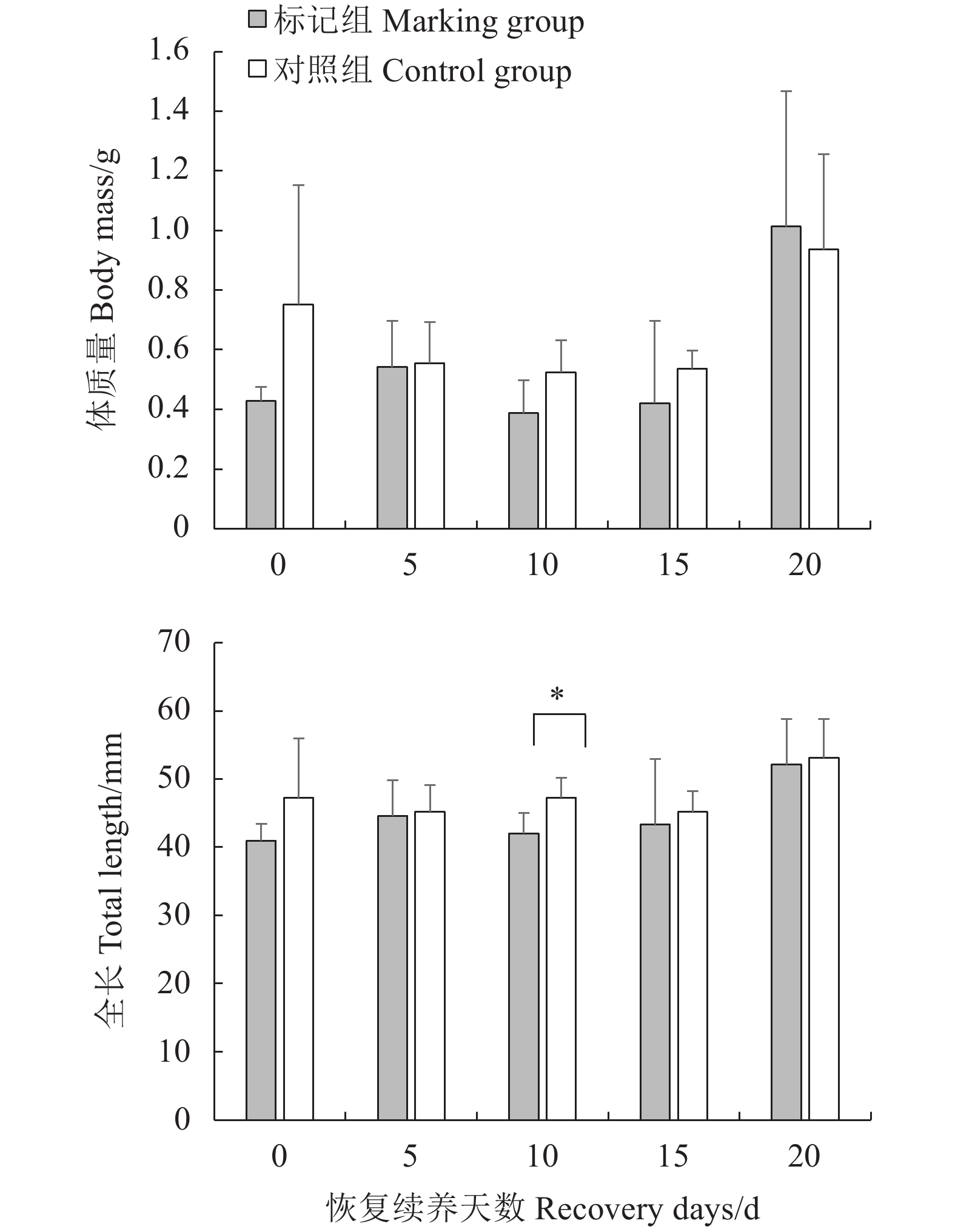
Effect evaluation of alizarin complexone marking for otoliths of juvenile black carp (Mylopharyngodon piceus)
Yahua ZHU, Tao JIANG, Xiubao CHEN, Hongbo LIU, Jian YANG
2021, 17(5): 93-100. DOI: 10.12131/20210048
Abstract PDF
Trophic structure of fishery organism assemblage in Daya Bay based on carbon and nitrogen stable isotope analysis
Huijuan WANG, Wenbo ZHANG, Honghui HUANG, Shannan XU, Huaxue LIU
2021, 17(5): 101-109. DOI: 10.12131/20210005
Abstract PDF
Biological characteristics of Ctenopharyngodon idellus in middle and lower reaches of Pearl River
Yujie HE, Shuli ZHU, Zhi WU, Xinhui LI, Jie LI
2021, 17(5): 110-117. DOI: 10.12131/20200242
Abstract PDF
Protective effect of hydrolyzed ultrafiltration fractions from oyster (Crassostrea hongkongensis) on oxidative damage of TM4 Sertoli cells
ZHANG Xueyan, QIN Xiaoming, LIN Haisheng, CAO Wenhong, ZHENG Huina, GAO Jialong, ZHANG Chaohua
2021, 17(5): 118-125. DOI: 10.12131/20210071
Abstract PDF
Study on relationship between body length and blood index of juvenile yellowfin tuna (Thunnus albacores)
Shengjie ZHOU, Rui YANG, Gang YU, Zhenhua MA
2021, 17(5): 126-132. DOI: 10.12131/20210052
Abstract PDF