column
Cascading effects of offshore wind farm construction: sediment disturbance-pollutant transport responses in marine environment and biological populations
Zhou Huateng, Shen Jing, Yan Fuyu, Song Wu, Chen Kaizhang, Li Zhenwei, Qu Yanfen, Ye Jinshao
2026, 22(1): 1-10. DOI: 10.12131/20250052
Abstract PDF
Effects of initial operation phase of Wailuo Offshore Wind Farm in Zhanjiang on benthic biotic communities
Zhu Longjie, Ye Jinshao, Qin Huaming, Long Yan
2026, 22(1): 11-21. DOI: 10.12131/20250187
Abstract PDF
Effects of construction and operation of Wailuo Offshore Wind Farm in Zhanjiang on nekton
Zhang Jie, Li Chongshu, Long Yan, Li Na, Lai Huajie, Ye Jinshao
2026, 22(1): 22-33. DOI: 10.12131/20250144
Abstract PDF
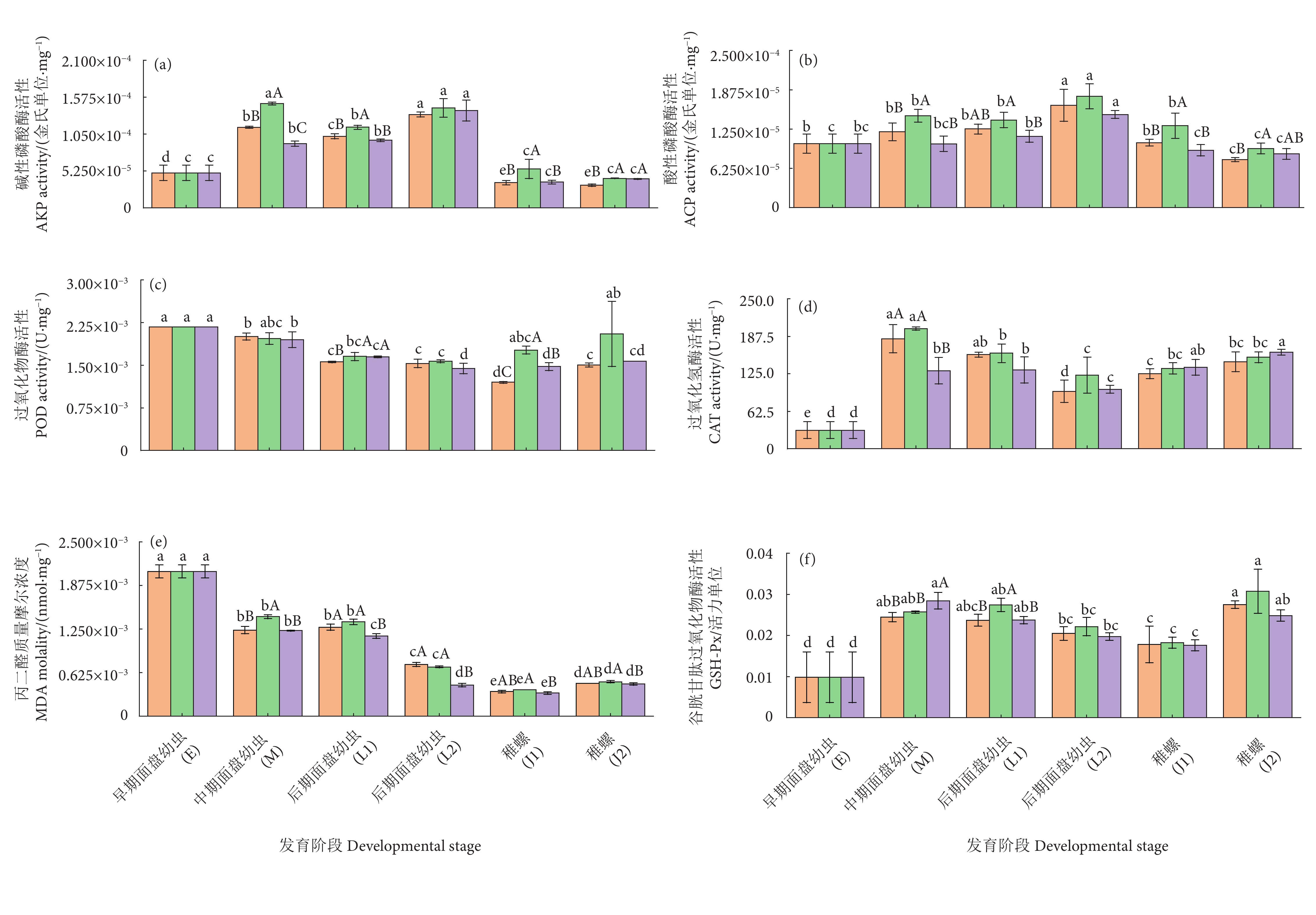
Oxidative stress and metabolic responses of Litopenaeus vannamei to magnetic fields from simulated submarine cables in offshore wind farms
Li Chongshu, Pan Guoqiang, Yan Fuyu, Lu Qiying, Zhang Jie, Long Yan, Ye Jinshao
2026, 22(1): 34-46. DOI: 10.12131/20250145
Abstract PDF
Construction of a fish DNA barcode reference database for 12 National Freshwater Aquatic Germplasm Resource Reserves in Guangdong Province
Shi Xian, Zhu Shuli, Liu Yaqiu, Wu Zhi, Xia Yuguo, Yang Jiping, Shuai Fangmin, Li Yuefei, Li Jie, Chen Weitao
2026, 22(1): 47-59. DOI: 10.12131/20250166
Abstract PDF
Assessment of fish diversity in Yuanjiang River using environmental DNA (eDNA) metabarcoding
Zhu Shuli, Chen Weitao, Li Yuefei, Wu Zhi, Li Jie, Liu Yaqiu
2026, 22(1): 60-73. DOI: 10.12131/20250150
Abstract PDF
Fish biodiversity and distribution in Hengqin National Wetland Park based on eDNA technology
Tian Jiangyan, Sun Yan, Wu Jianyong, Li Fengjie, Chen Qinghua, Huang Jianrong
2026, 22(1): 74-83. DOI: 10.12131/20250135
Abstract PDF
A preliminary study on monitoring of stock-enhanced and released fish in Wuzhizhou Island based on environmental DNA (eDNA) metabarcoding
Ma Chengdan, Zhang Xiang, Jiang Shousong, Deng Shengming, Ou Huilong, Guo Weiliang, Zhou Yongcan, Li Jianlong
2026, 22(1): 84-92. DOI: 10.12131/20250131
Abstract PDF
Spatio-temporal fish distribution differences between closed-fishing and ecological-stocking in Shangyoujiang Reservoir based on hydroacousticassessment
Lan Ruolin, Yi Peipei, Wu Xiya, Li Xuemei, Xu Bowen, Gong Haibo, Zeng Xianliang, Meng Zihao, Fu Xuejun
2026, 22(1): 93-102. DOI: 10.12131/20250109
Abstract PDF
Diversity and temporal-spatial distribution of macroinvertebrate functional feeding groups in middle reaches of Huaihe River
Sun Qihao, Zhou Yanfeng, Yu Zhenfei, Yu Haixin, Sun Yangyan
2026, 22(1): 103-112. DOI: 10.12131/20250039
Abstract PDF
Differentiation of trophic niches of four common octopus species in East China Sea based on stable isotopes
Liu Jiaxiang, He Junhao, Hu Guanyu, Fang Zhou
2026, 22(1): 113-120. DOI: 10.12131/20250113
Abstract PDF
Sexual and geographic differences in morphological traits of Sthenoteuthis oualaniensis and their correlation with environmental factors
Zhou Rui, Tang Quehui, Xu Lei, Wang Xuehui, Ning Jiajia, Li Yafang, Wang Lianggen, Liu Shuangshuang, Huang Delian, Du Feiyan
2026, 22(1): 121-128. DOI: 10.12131/20250038
Abstract PDF
Effects of fish-shellfish-algae polyculture on growth of large yellow croaker (Larimichthys crocea) and water quality regulation
Wang Yanxia, Shentu Jikang, Liu Youyu, Wang Haihang, Liu Weijian
2026, 22(1): 129-137. DOI: 10.12131/20250087
Abstract PDF
Analysis of differences in body color characteristics between wild and hatchery-reared juvenile marbled rockfish (Sebastiscus marmoratus)
Xue Xianglong, He Zhaoshuai, Qi Yulu, Wang Tong, Sun Yiyang, Wei Zhengwei, Chai Xuejun, Wang Yuebin, Zhang Xiumei, Guo Haoyu
2026, 22(1): 138-148. DOI: 10.12131/20250103
Abstract PDF
Feeding metabolism and feeding strategies in industrialized farming of Plectropomus leopardus
Guan Chongwu, Shan Jianjun, Xu Jincheng, Zhang Yulei
2026, 22(1): 149-156. DOI: 10.12131/20250117
Abstract PDF
Effects of different aquaculture models on muscle quality, antioxidant status and gut microbiota of Channa argus
Lan Jie, Tao Zhiying, He Gang, Yuan Jiaxin, Deng Yonghui, Li Menglu, Wang Jiawei, Zhou Huiming, Ouyang Min
2026, 22(1): 157-168. DOI: 10.12131/20250164
Abstract PDF
Inhibitory effect of an antimicrobial peptide A7 on Vibrio spp. and its application in Apstichopus japonicus
Liang Jingjing, Liu Baotong, Meng Fankui, Liu Jie, Xiao Zhizhuang, Tian Xiangli, Guo Yanlin
2026, 22(1): 169-177. DOI: 10.12131/20250112
Abstract PDF
Genetic diversity analysis of four consecutive selective breeding generations in even years of white-carapaced strain of Eriocheir sinensis based on SSR markers
Yang Zonglin, Tang Meijun, Zhang Dongdong, Chen Xiaowu, Wu Xugan
2026, 22(1): 178-188. DOI: 10.12131/20250054
Abstract PDF
Microbiota structure in gastrointestinal tract of spotted sea bass (Lateolabrax maculatus) juvenile cultured in ponds during high-temperature period
JIANG Yan, Yang Hongjun, Huang Yachao, Cui Aijun, Zhang Qixin, Xu Yongjiang, Huang Jingxian
2026, 22(1): 189-198. DOI: 10.12131/20250066
Abstract PDF
Cloning and functional verification of ELOVL7 gene in Eriocheir sinensis
Yang Zhigang, Ye Xiaolong, Chen Aqin, Li Teng, Wang Aimin, Geng Mingyang
2026, 22(1): 199-208. DOI: 10.12131/20250064
Abstract PDF
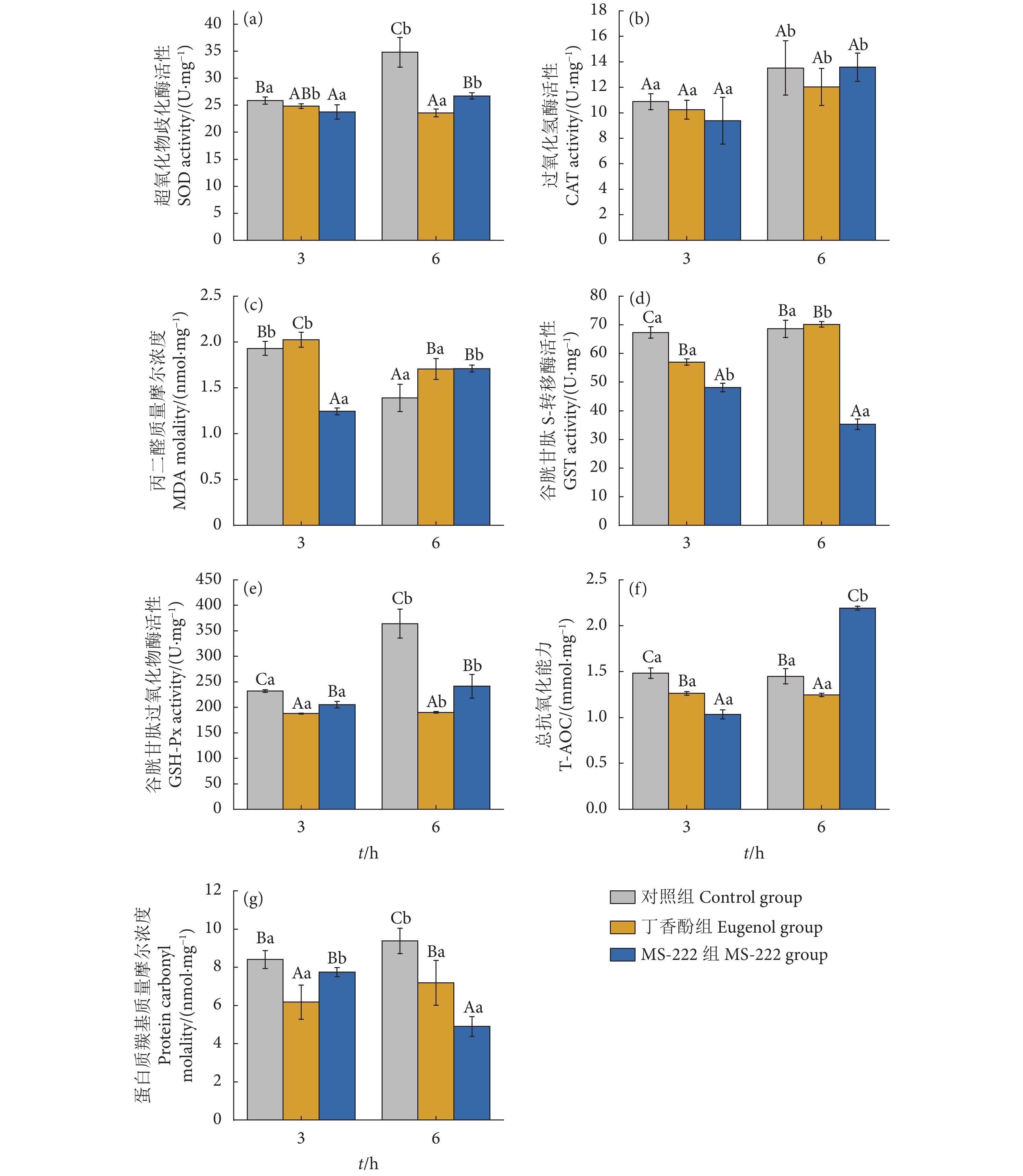
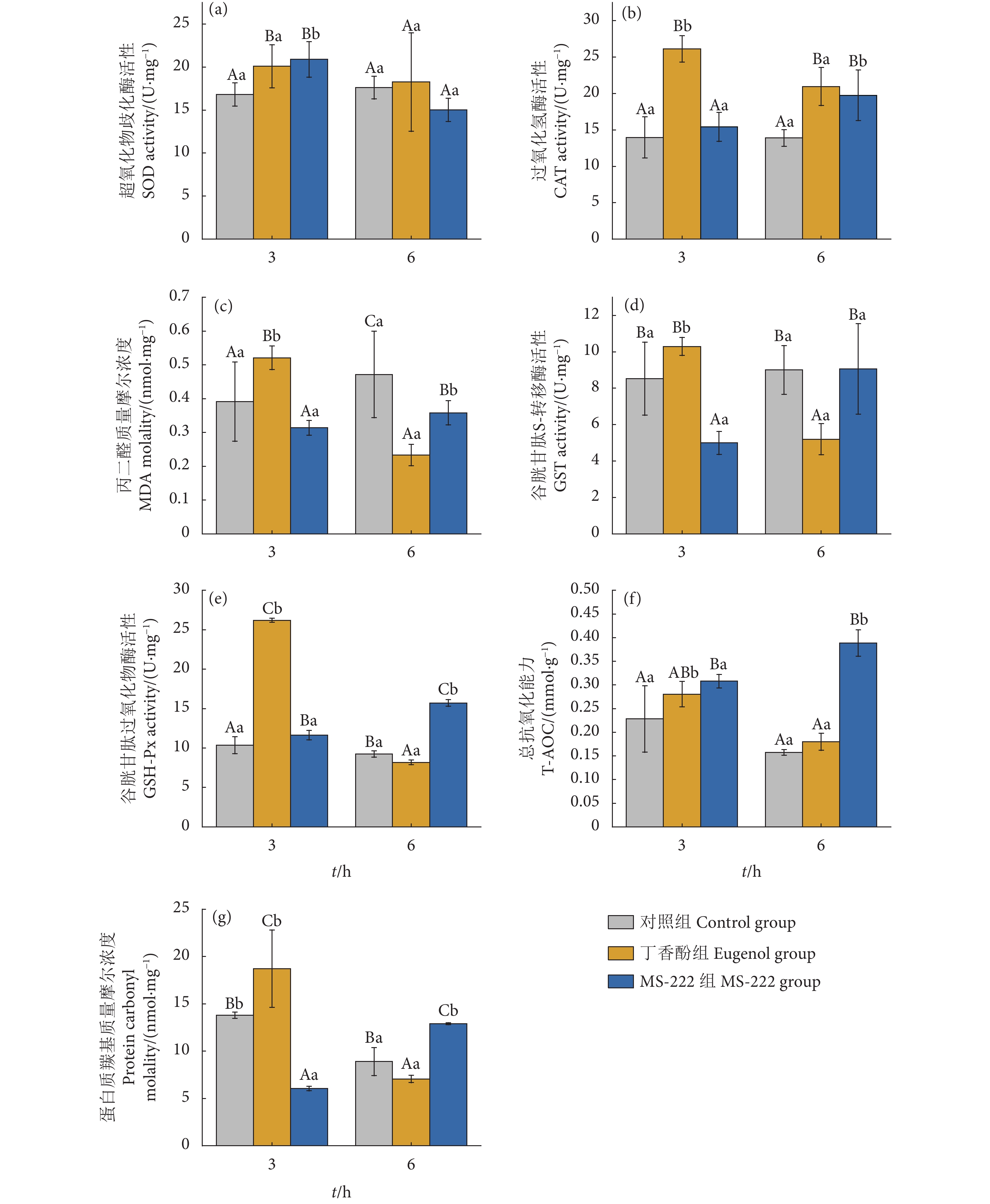
Effects of different dormancy-inducing methods on quality of Verasper variegatus during waterless preservation and transportation
Li Gongyan, Jiang Peihong, Sun Qixin, Chen Dongjie, Huang Baosheng, Zhang Zihao, Qin Xiaoming, Zhang Changfeng, Wu Mingchun
2026, 22(1): 209-223. DOI: 10.12131/20250175
Abstract PDF