基于ARIMA的海洋尼诺指数对中西太平洋黄鳍金枪鱼年际CPUE的影响

Effect of Oceanic Niño index on interannual CPUE of yellowfin tuna (Thunnus albacares) in Western and Central Pacific Ocean based on ARIMA model

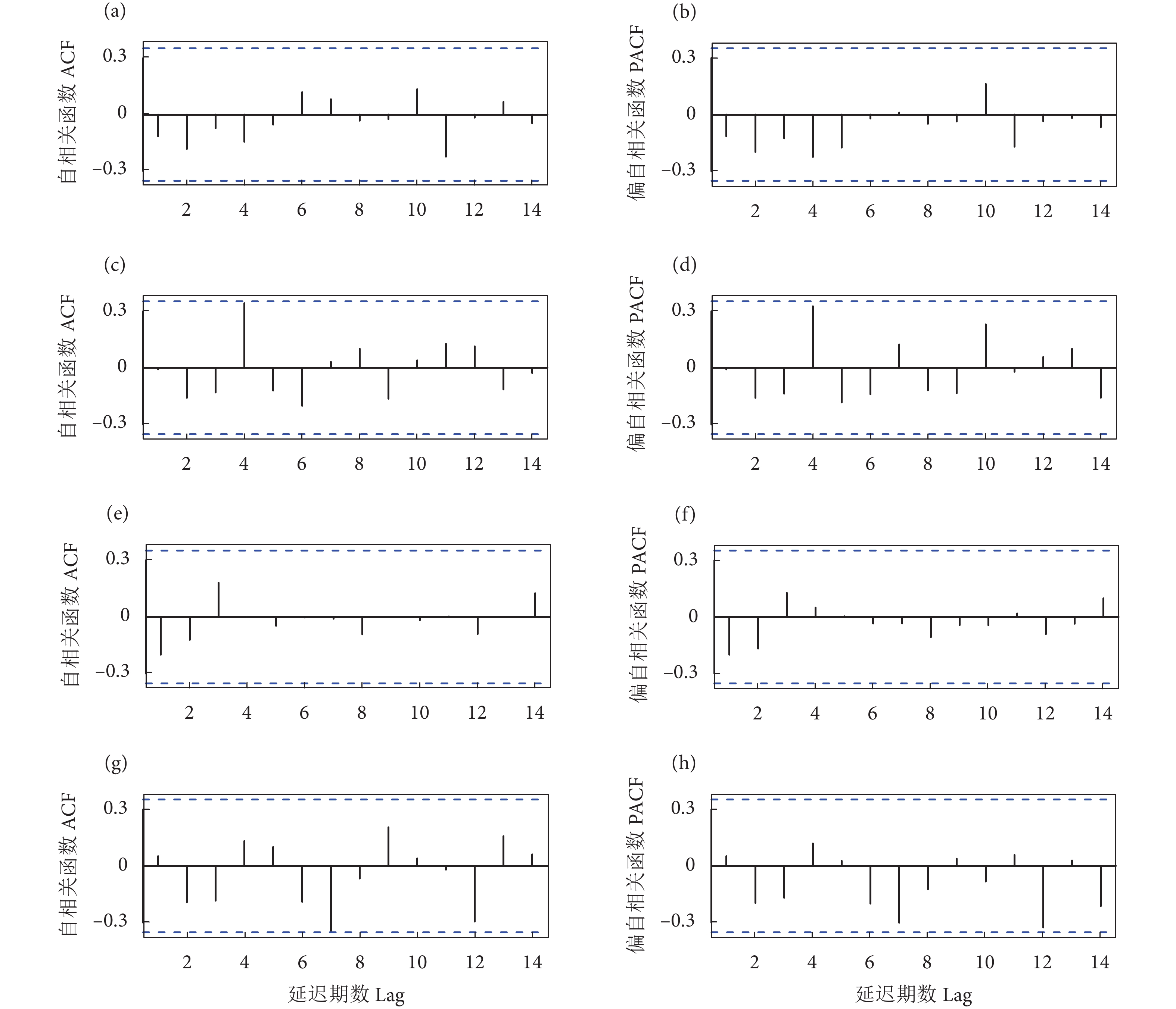
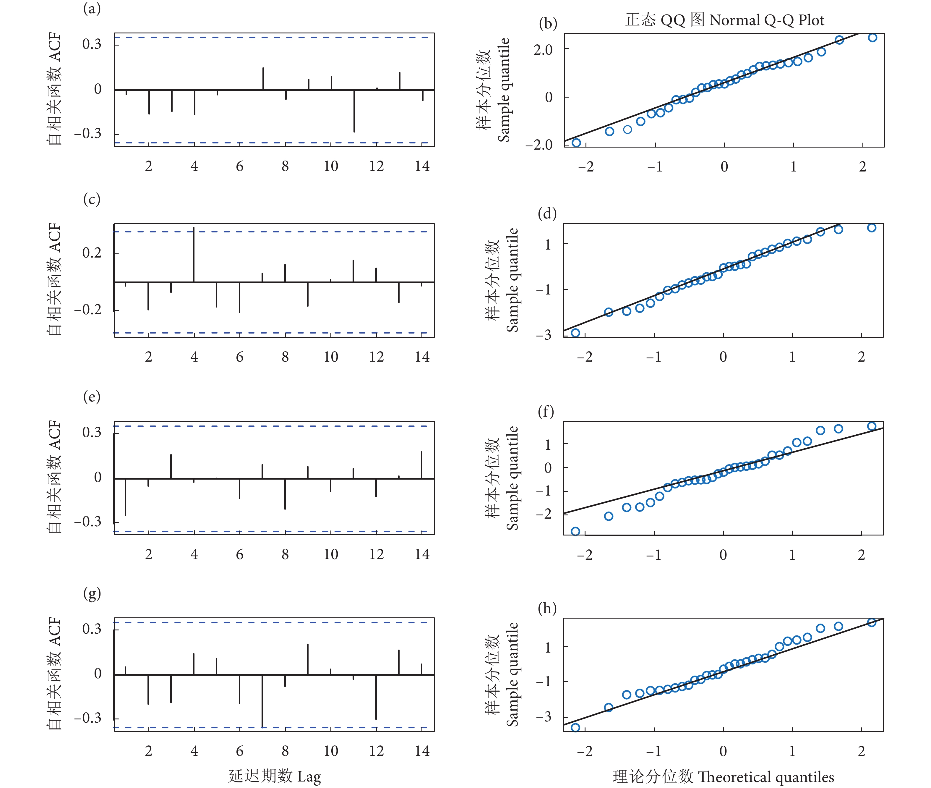
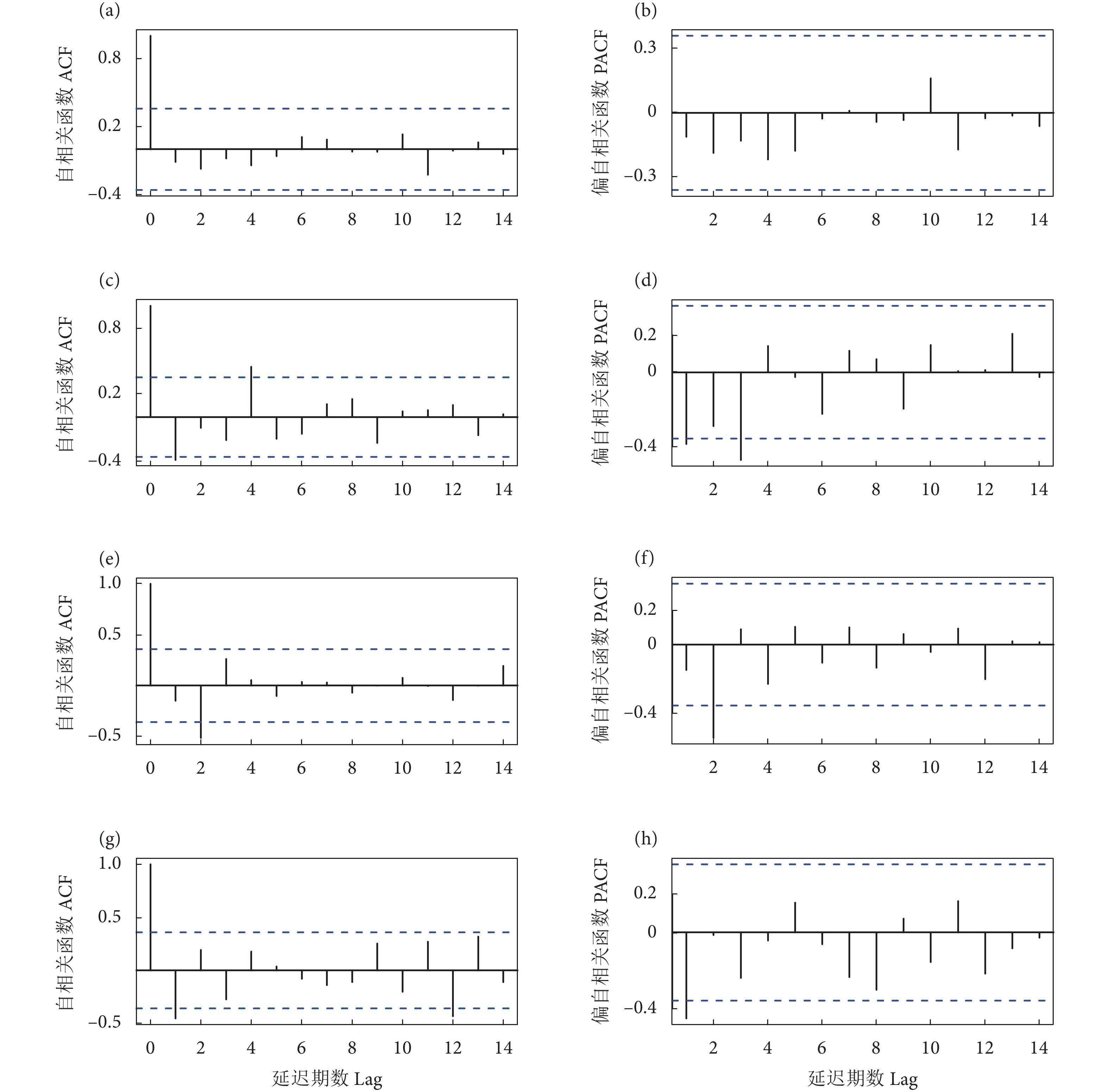
  • 摘要: 黄鳍金枪鱼 (Thunnus albacares) 为高度洄游的大洋性鱼类,有较高的生态和经济价值,中西太平洋 (Western and Central Pacific Ocean, WCPO) 是全球金枪鱼捕捞产量最高的海区。为了解和预测中西太平洋黄鳍金枪鱼不同渔业对气候变化的反应,根据1990—2020年世界各国在中西太平洋的围网和延绳钓作业以及海洋尼诺指数 (Oceanic Niño index, ONI) 数据,分析了常规自回归积分滑动平均模型 (Autoregressive Integrated Moving Average Model, ARIMA) 和加入ONI标准差为协变量的动态ARIMA模型在渔业资源量研究中的适用性,以及ONI对中西太平洋黄鳍金枪鱼年际单位捕捞努力量渔获量 (Catch per unit effort, CPUE) 的影响。结果表明:1) 常规ARIMA模型能够充分考虑中西太平洋黄鳍金枪鱼年CPUE的变化特征,可用于黄鳍金枪鱼年CPUE的长期拟合;2) 相比常规ARIMA模型,动态ARIMA模型的拟合度更好,拟合值和真实值的相关性更高,同时平均绝对误差、均方根误差更小;3) ONI对中西太平洋赤道南北海域黄鳍金枪鱼的年CPUE影响不同,相对而言,在赤道以北,ONI的影响因素更关键,模型的拟合度更高;4) ONI对中西太平洋不同渔业的黄鳍金枪鱼的年CPUE影响有差别,对中西太平洋黄鳍金枪鱼延绳钓渔业存在滞后1~2年的影响,而在强厄尔尼诺和强拉尼娜现象时,对围网渔业的影响速度较快,不存在滞后。

     

    Abstract: As a highly migratory pelagic fish, yellowfin tuna (Thunnus albacares) has high ecological and economic value. The Western and Central Pacific Ocean (WCPO) is the sea area with the highest tuna production of all oceans. In order to understand and predict the response of yellowfin tuna to climate change at different life stages in WCPO, we used the catch data of yellowfin tuna in purse seining and pelagic longlining and Oceanic Niño index (ONI) data from 1990 to 2020 in the WCPO to validate the applicability of general ARIMA (Autoregressive integrated moving average) model and dynamic ARIMA model, so as to explore the influence of the ONI on the interannual CPUE (Catch per unit effort) of yellowfin tuna. The results show that: 1) General ARIMA models could be used for long-term fitting of annual CPUE of yellowfin tuna in the WCPO, taking full account of the variability characteristics of annual CPUE of yellowfin tuna. 2) Compared with the general ARIMA model, the dynamic ARIMA model provided a better fit and a higher correlation between the fitted and true values, as well as smaller mean absolute and root mean square errors. 3) The influence of the ONI on the annual CPUE of yellowfin tuna differed between the northern and southern equatorial regions of the WCPO, with the ONI being a more critical factor and a better model fit relatively north of the equator. 4) The ONI had different impacts on the annual CPUE of yellowfin tuna in different fisheries in the WCPO, with a 1–2 years' lag in the ONI for the yellowfin tuna longline fishery in the WCPO, and a faster impact on the purse seine fishery during strong El Niño and strong La Niña events, without a lag.

     

/

返回文章
返回