大亚湾潮间带大型底栖动物群落结构特征及其影响因素

Structural characteristics and relative influencing factors of macrobenthos community in intertidal zone of Daya Bay

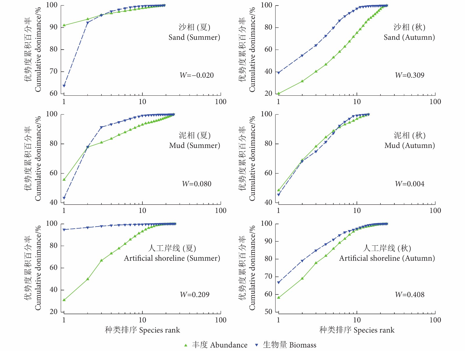
  • 摘要: 近年来受人为扰动等多种因素影响,大亚湾大型底栖动物群落结构及潮间带的生态功能发生了明显变化。为掌握大亚湾近岸海域生态系统变化规律,根据2021年夏季 (8月) 和秋季 (11月) 在大亚湾获取的6条潮间带断面 (3条砂质、2条泥质和1条人工岸线) 的大型底栖动物和栖息环境调查数据,对其群落结构特征及影响因素进行了分析。共鉴定大型底栖动物118种,其中夏季82种、秋季64种,均以软体动物最多,节肢动物次之,环节动物第三。6条采样断面中,夏、秋季大型底栖动物平均生物量和栖息密度分别为589.36、188.22 g·m−2和356.39、1 010.3 个·m−2,均以软体动物和节肢动物占比较高。聚类分析和多维尺度排序分析结果表明,大亚湾潮间带大型底栖动物可划分为沙相、泥相和人工岸线3个群落。其中,人工岸线群落多样性指数最高,稳定性最佳。冗余分析表明,底质类型和人为干扰是影响大亚湾潮间带大型底栖动物群落结构变化的主要因素。

     

    Abstract: In recent years, the structure of macrobenthic community and ecological functions of intertidal zone in Daya Bay have changed significantly due to the influence of various factors such as anthropogenic disturbances. In order to understand the changing patterns of ecosystem functioning in the coastal waters of Daya Bay, we obtained the data on the macrobenthos and habitats in six intertidal sections (Three sands, two muds and one artificial shoreline) in summer (August) and autumn (November) of 2021, and analyzed their community structure characteristics and influencing factors. The results show that a total of 118 species were identified, including 82 species in summer and 64 species in autumn, among which molluscs had the largest quantity in both seasons followed by arthropods and annelids. The mean biomasses of the six sampling sections in two seasons were 589.36 and 188.22 g·m−2, and the mean abundances were 356.39 and 1 010.3 ind·m−2, respectively, with molluscs and arthropods accounting for a higher proportion. The results of cluster analysis and multidimensional scaling show that the macrobenthic fauna community in the survey areas displayed significant spatial differences. The macrobenthos in the intertidal zone of Daya Bay could be divided into three communities: sand facies, mud facies and artificial shoreline, among which the artificial shoreline community had the highest diversity index and best community stability. Distance-based redundancy analysis indicates that the structure of intertidal macrobenthic community was mainly affected by sediment type and anthropogenic disturbance.

     

/

返回文章
返回