淮河荆涂峡鲤、长吻鮠国家级水产种质资源保护区生态健康评价

Ecological health assessment of Cyprinus carpio and Leiocassis longirostris national aquatic germplasm resources reserve in Huaihe River

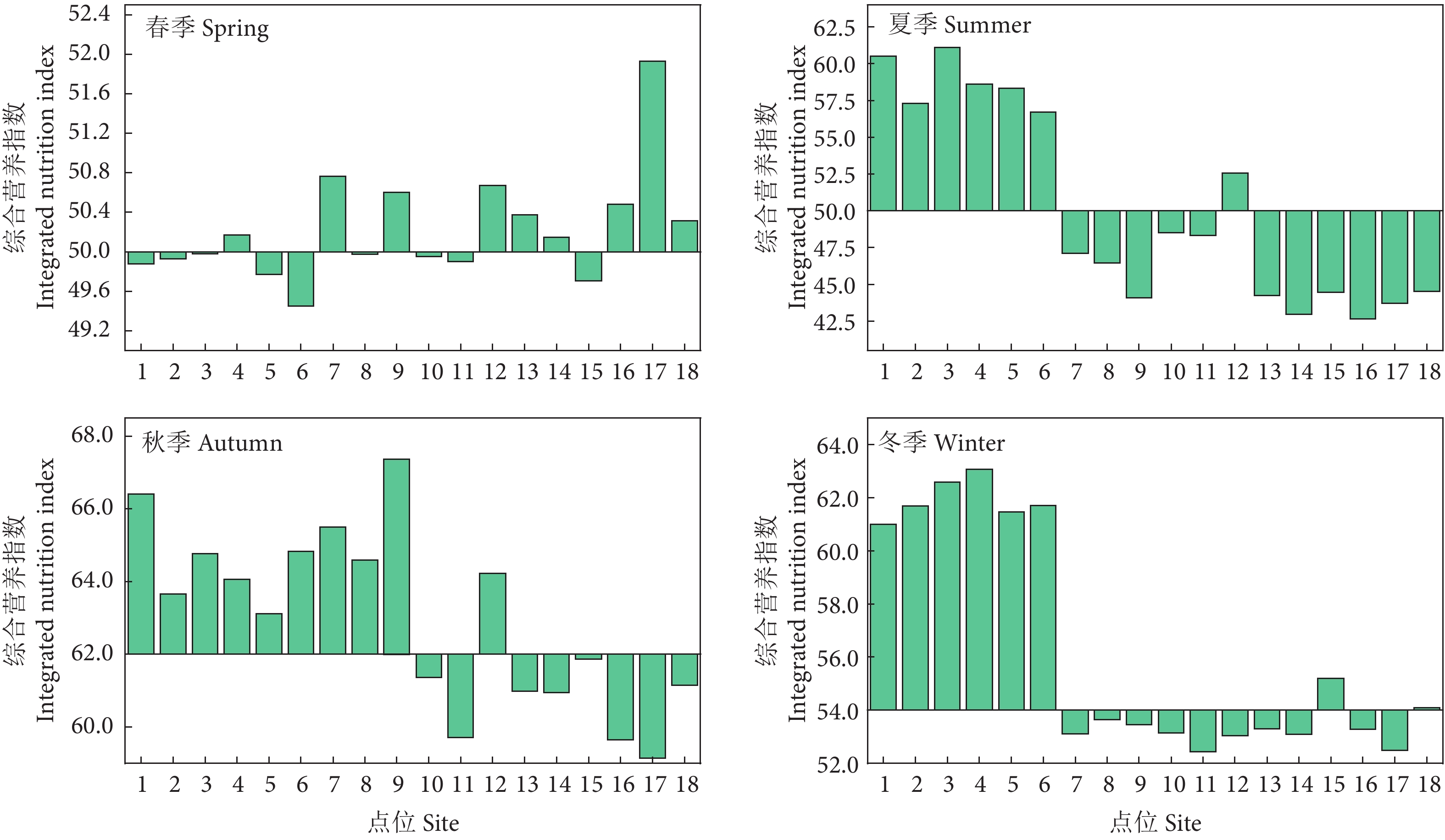
  • 摘要: 评价水域生态健康状况可判别水生态恢复成效,是水环境管理的有效手段。为探究淮河荆涂峡鲤 (Cyprinus carpio)、长吻鮠 (Leiocassis longirostris) 国家级水产种质资源保护区的水生态健康状况,根据2020年浮游植物群落结构的调查结果,结合形态功能群分类法,构建了基于浮游植物生物完整性指数的保护区生态健康评价体系。选择受干扰较小的采样点为参照点,对候选参数进行非参数检验和相关性分析,确定最终的评价参数,采用比值法确定分级评价标准,对保护区水体进行健康评价。结果显示,浮游植物优势功能群演变趋势为III+IV+V (春季)→III+IV+V+VI (夏季)→V+VI (秋季)→IV+V+VI (冬季),除核心区的优势功能群为III+IV+V+VI外,实验区、涡河和淮河干流优势功能群均为III+IV+V+VI。保护区68.06%的样点评价结果为“一般”及以上,总体水生态健康状况良好,具体表现为冬季优于秋季、夏季次之、春季最差的时间格局,以及淮河干流优于涡河、实验区优于核心区的空间格局。

     

    Abstract: Evaluation of water ecological health status helps to judge the effectiveness of water ecological restoration, which is an effective means of water environment management. In order to explore the water ecological health status of Cyprinus carpio and Leiocassis longirostris national aquatic germplasm resources reserve in Huaihe River, according to the survey results of phytoplankton community structure in 2020 and combined with the morphological functional group classification, we constructed the ecological health evaluation system of the reserve based on the biological integrity index of phytoplankton. Besides, we carried out the Mann-Whitney non-parametric test and correlation analysis of the candidate parameters to determine the final evaluation parameters, and used the ratio method to determine the grading evaluation standard for the evaluation of the health status of the reserve water. The results show that the evolution trend of dominant functional groups of phytoplankton was III+IV+V (Spring)→III+IV+V+VI (Summer)→V+VI (Autumn)→IV+V+VI (Winter). Except that the dominant functional groups in the core area were III+ IV+V+VI, the dominant functional groups of the experimental area, the Guo river and the Huaihe River were III+IV+V+VI. 68.06% of the sampling sites in the reserve were evaluated as "average" or above, indicating that the overall water ecological health status was good. Specifically, the temporal pattern of winter was better than autumn, followed by summer, and the worst was in spring; the spatial pattern of Huaihe River mainstream was better than Guohe River, and the experimental area was better than the core area.

     

/

返回文章
返回