黄鳍金枪鱼幼鱼体质量与血液指标关系研究

Study on relationship between body mass and blood indexes of juvenile Thunnus albacares

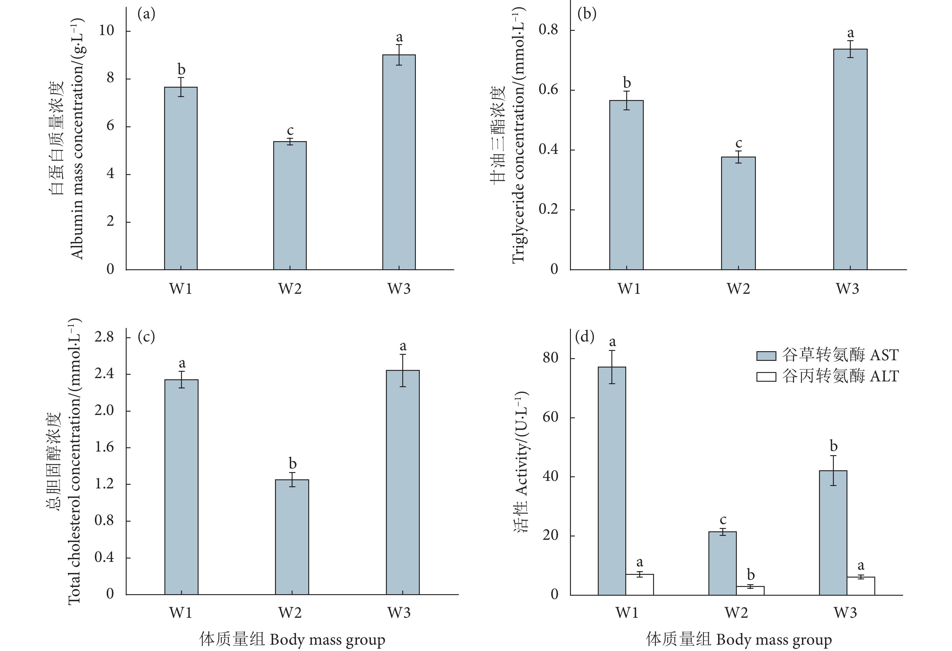
  • 摘要: 为给黄鳍金枪鱼 (Thunnus albacares) 人工养殖提供科学依据,探究了人工养殖黄鳍金枪鱼幼鱼血液基础指标数据及生化指标与体质量的关系,测定了不同体质量的黄鳍金枪鱼幼鱼 (W1: 400~900 g; W2: 900~1 400 g; W3: 1 400~1 900 g) 血清中的白蛋白、甘油三酯、总胆固醇、溶菌酶的浓度和转氨酶、磷酸酶的活性。结果显示,白蛋白、甘油三酯和谷草转氨酶 (AST) 组间差异显著 (P<0.05)。W2组的谷丙转氨酶 (ALT) 活性和总胆固醇浓度显著低于其余两组 (P<0.05)。白蛋白、甘油三酯和总胆固醇浓度大小依次为W3>W1>W2。碱性磷酸酶活性组间差异不显著 (P>0.05)。W1组酸性磷酸酶活性显著高于其余两组 (P<0.05),W1组溶菌酶浓度与其余两组差异不显著 (P>0.05)。结果表明,黄鳍金枪鱼幼鱼在3个体质量组中血液指标存在差异,W2组与其他两组差异较大,W1和W3组差异较小。

     

    Abstract: In order to study the basic blood indexes of artificially bred yellowfin tuna (Thunnus albacares), we determined the concentrations or activities of albumin, triglyceride, total cholesterol, transaminase, lysozyme and phosphatase in its serum (W1: 400−900 g; W2: 900−1 400 g; W3: 1 400−1 900 g) with different body mass. The results show that there were significant differences among the albumin, triglyceride and aspertate aminotransferase groups (P<0.05). The glutamic pyruvic transaminase activity and total cholesterol concentration in W2 group were significantly lower than those in the other two groups (P<0.05). The decending order of the concentrations of albumin, triglyceride and total cholesterol was W3>W1>W2. There was no significant difference in the alkaline phosphatase activity among the groups (P>0.05). The acid phosphatase activity in W1 group was significantly higher than that in the other two groups (P<0.05), and the lysozyme concentration in W1 group was not significantly different from that in the other two groups (P>0.05). The results reveal that there were differences in the blood indexes among the three groups of different mass; the difference between W2 group and the other two groups was greater, and the difference between W1 group and W3 group was smaller.

     

/

返回文章
返回