Abstract:
To provide references for the application of two anesthetics in
Litopenaeus vannamei, we studied the anesthetic effects of eugenol (20, 30, 40, 60, 80, 100, 120, 140, 160 mg·L
−1) and MS-222 (800, 900, 1 000, 1 100, 1 200, 1 300, 1 400, 1 500, 1 600 mg·L
−1) on
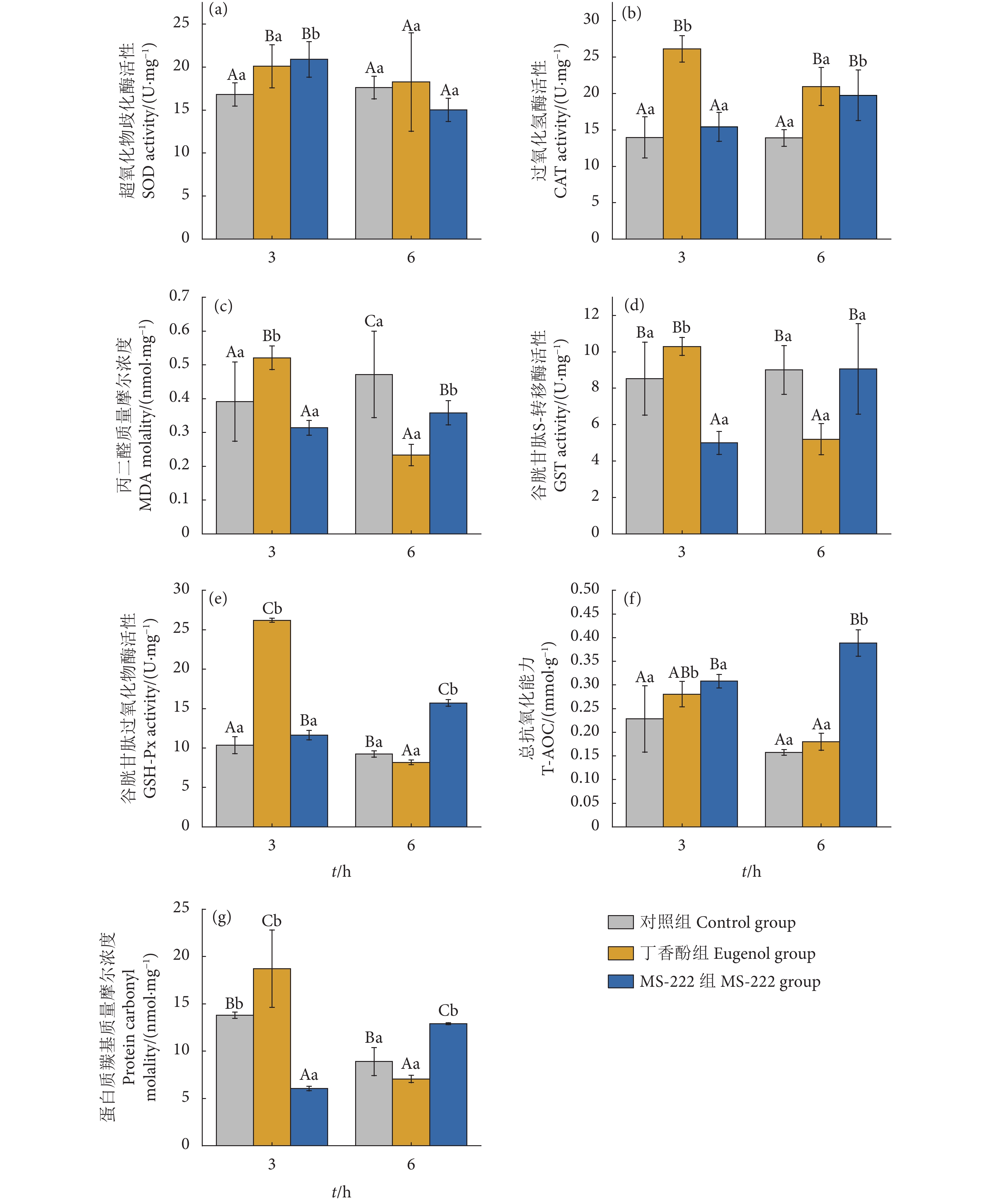
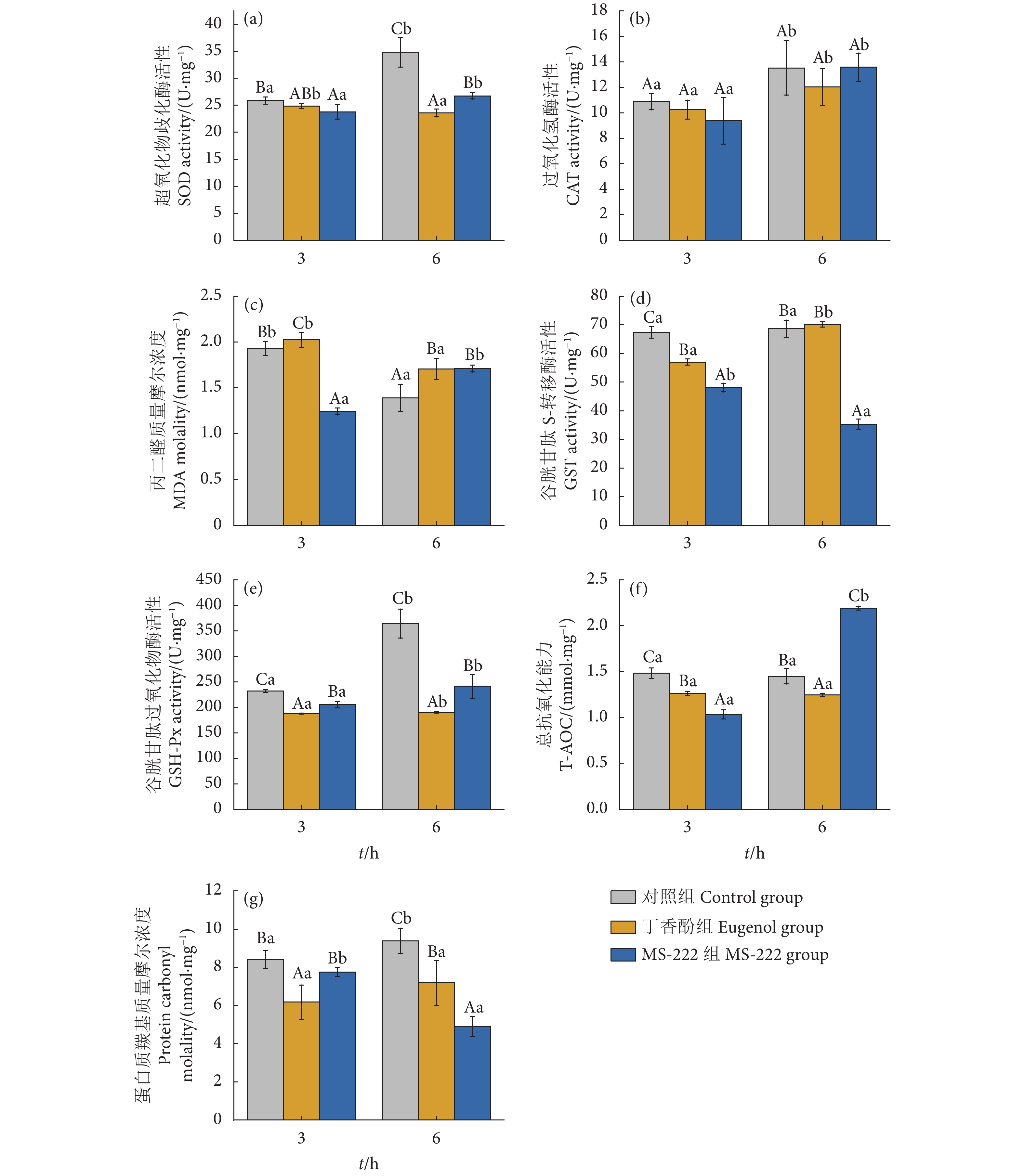
L. vannamei with body mass of (14±3) g. Besides, we tested the secondary stress injury on the physiological functions and pathomorphologic changes by the two anesthetics. The results show that: 1) Eugenol of 80 mg·L
−1and MS-222 of 1 400 mg·L
−1 induced
L. vannamei to enter the stage of deep anesthetic within 3 min, and return to the normal stage within 5 min. 2) The gills and hepatopancreas of
L. vannamei were injured by the two anesthetics, and the antioxidant indexes of gills in the eugenol group reached the maximum value earlier than the MS-222 group. The Caspase-3 activity in the eugenol group decreased significantly after anesthesia recovery of 6 h, while that in the MS-222 group increased significantly (
P<0.05). The Na
+/K
+-ATPase activity in both the groups decreased significantly (
P<0.05). Pathomorphologic analysis shows that the two anesthetics could cause deformation or lysis of gills and hepatopancreas, and the eugenol group could recover after anesthesia recovery of 6 h. In conclusion, eugenol and MS-222 have anesthetic effects on
L. vannamei, but the concentration of MS-222 is higher and the secondary stress damage to the body is more serious.