芽孢杆菌对方斑东风螺生长、存活、免疫及消化酶活性的影响

Effects of Bacillus on growth, survival, immunity and digestive enzyme activities of Babylonia areolata

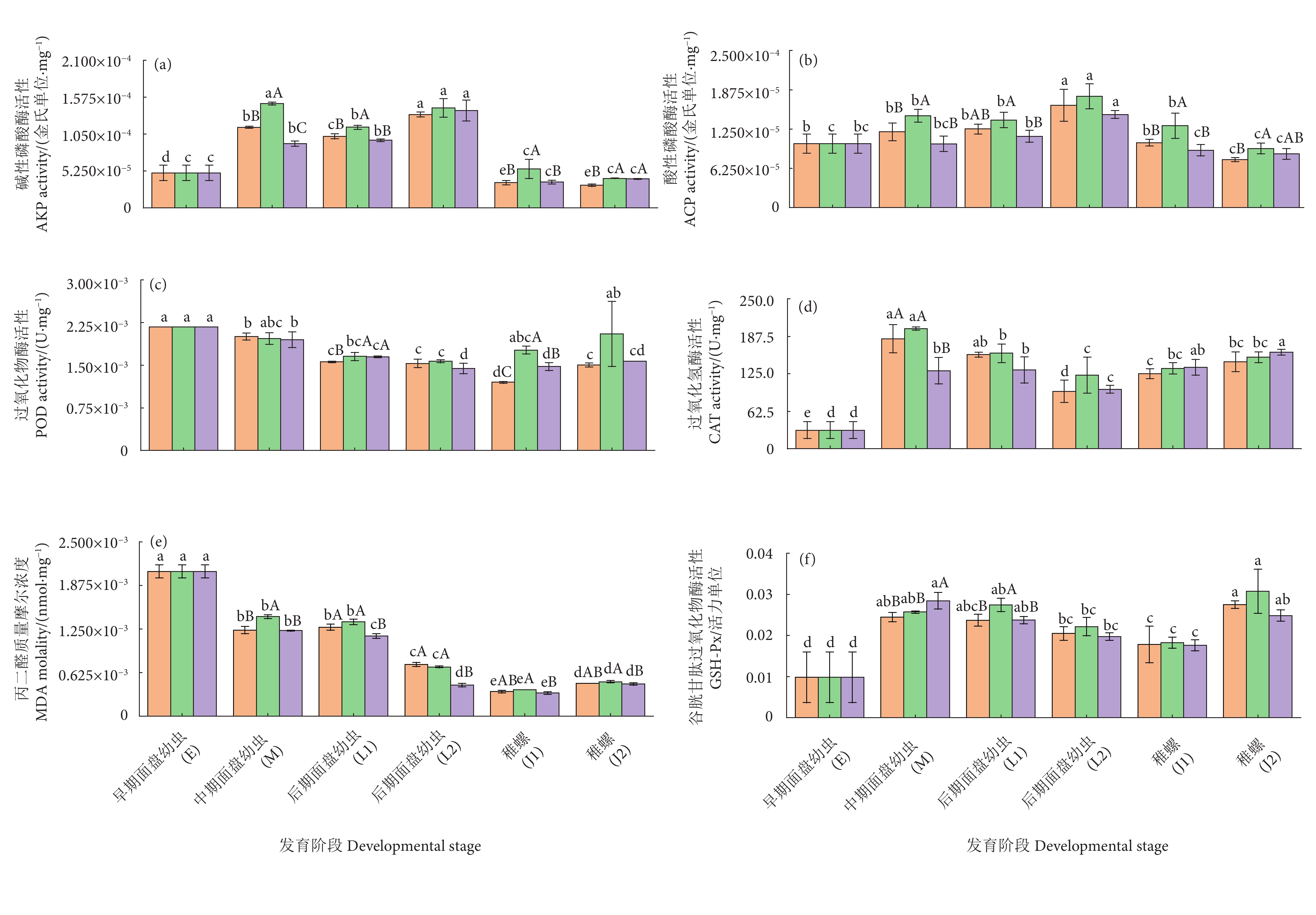
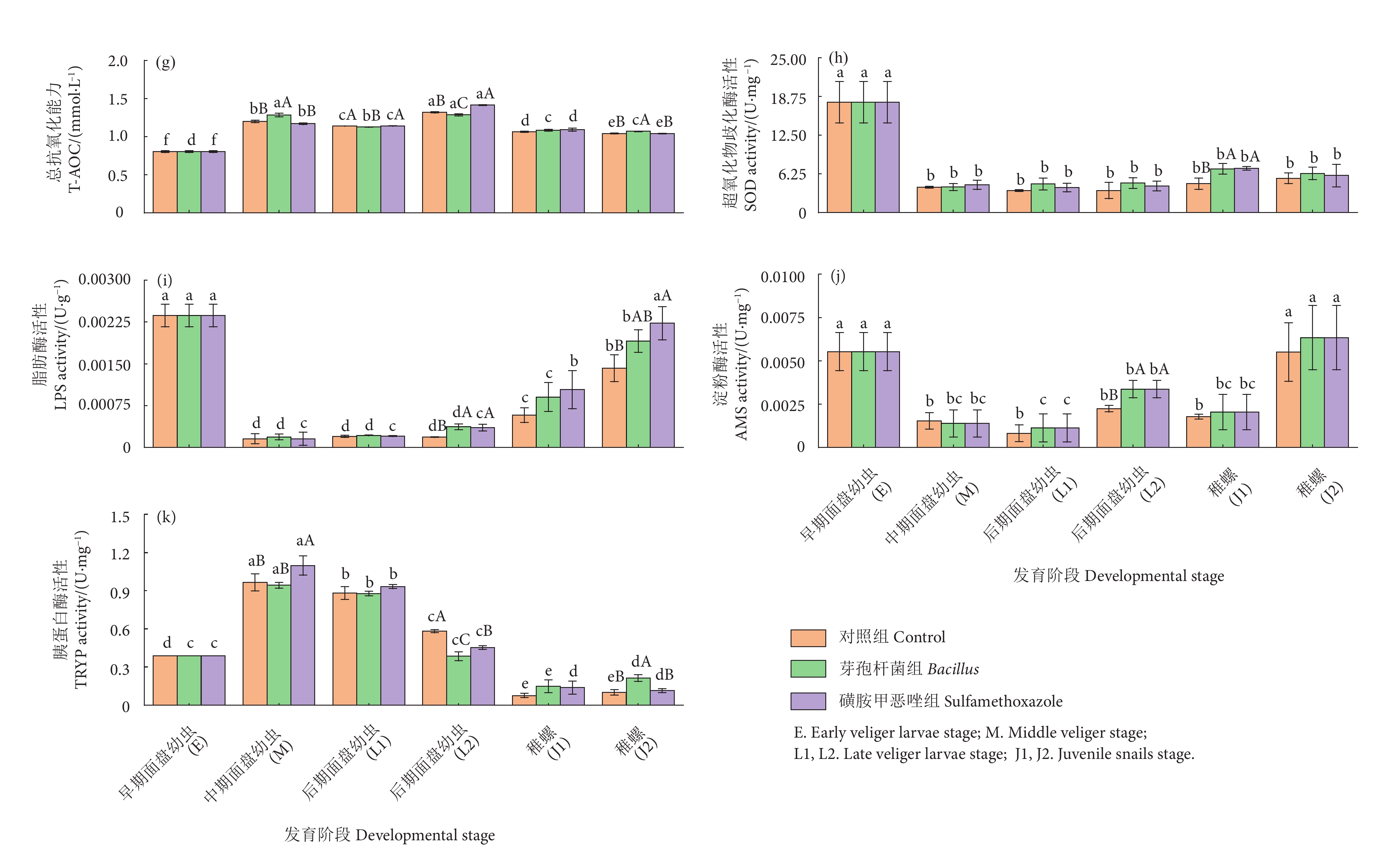
  • 摘要: 为探究芽孢杆菌 (Bacillus) 是否可替代抗生素在方斑东风螺 (Babylonia areolata) 养殖中的应用,在方斑东风螺早期面盘幼虫到稚螺生长发育过程中,使用芽孢杆菌 凝结芽孢杆菌 (B. coagulans)、地衣芽孢杆菌 (B. licheniformis) 和抗生素 (磺胺甲恶唑) 进行人工调控,研究其对方斑东风螺生长、存活、免疫及消化相关酶活性的影响。结果显示,芽孢杆菌和磺胺甲恶唑均促进了方斑东风螺各性状指标的生长,两者之间差异不显著 (P>0.05);芽孢杆菌组成活率在后期面盘幼虫阶段之后均显著高于对照组和磺胺甲恶唑组 (P<0.05);芽孢杆菌能够提高机体碱性磷酸酶 (AKP)、酸性磷酸酶 (ACP)、过氧化氢酶 (CAT)、过氧化物酶 (POD)、谷胱甘肽过氧化物酶 (GSH-Px)、超氧化物歧化酶 (SOD)、脂肪酶 (LPS) 和淀粉酶 (AMS) 活性,丙二醛 (MDA) 水平和总抗氧化能力 (T-AOC),并且高于对照组和磺胺甲恶唑组。结果表明,在对方斑东风螺进行苗种繁育时适当使用芽孢杆菌 (凝结芽孢杆菌、地衣芽孢杆菌) 可以提高机体免疫力和抗病性,在一定程度上提高消化酶活性、促进幼体生长和提高成活率,且效果优于磺胺甲恶唑。

     

    Abstract: In order to explore whether Bacillus can replace antibiotics in the culture of Babylonia areolata, during the growth and development of B. areolata from early veliger larva to juvenile, we used Bacillus (B. coagulans, B. licheniformis) and antibiotics (sulfamethoxazole) for artificial regulation to study their effects on the growth, survival, immune and digestive enzyme activities of B. areolata. The results show that Bacillus and sulfamethoxazole promoted the growth of each trait index of B. areolata, and the difference among them was not significant (P>0.05). The survival rate of the Bacillus group was significantly higher than that of the control group and the sulfamethoxazole group in the later veliger larva stage (P<0.05). The activities of AKP, ACP, CAT, POD, GSH-Px, SOD, LPS and AMS, and MDA molality and T-AOC in Bacillus group were higher than those in the control group and the sulfamethoxazole group. The results show that appropriate use of Bacillus (B. coagulans and B. licheniformis) during the seedling breeding of B. areolata can improve the immunity and disease resistance of the body, increase the activity of digestive enzymes, promote the growth of larvae and improve the survival rate, and the effect is better than that of sulfamethoxazole.

     

/

返回文章
返回