低温暂养对珍珠龙胆石斑鱼存活、非特异性免疫及抗氧化指标的影响

Effect of low-temperature acclimation on survival, non-specific immune and antioxidant indexes of Epinephelus fuscoguttatus ♀×E. lanceolatus

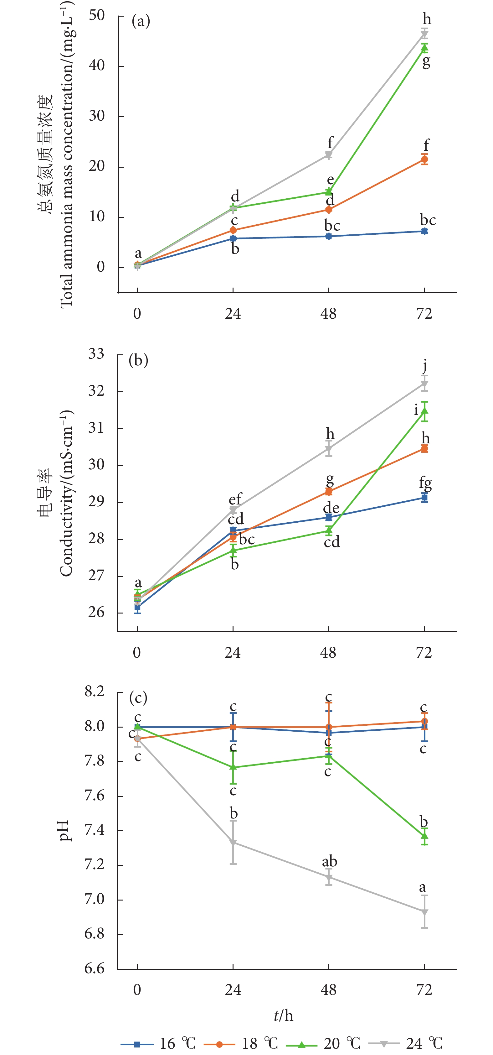
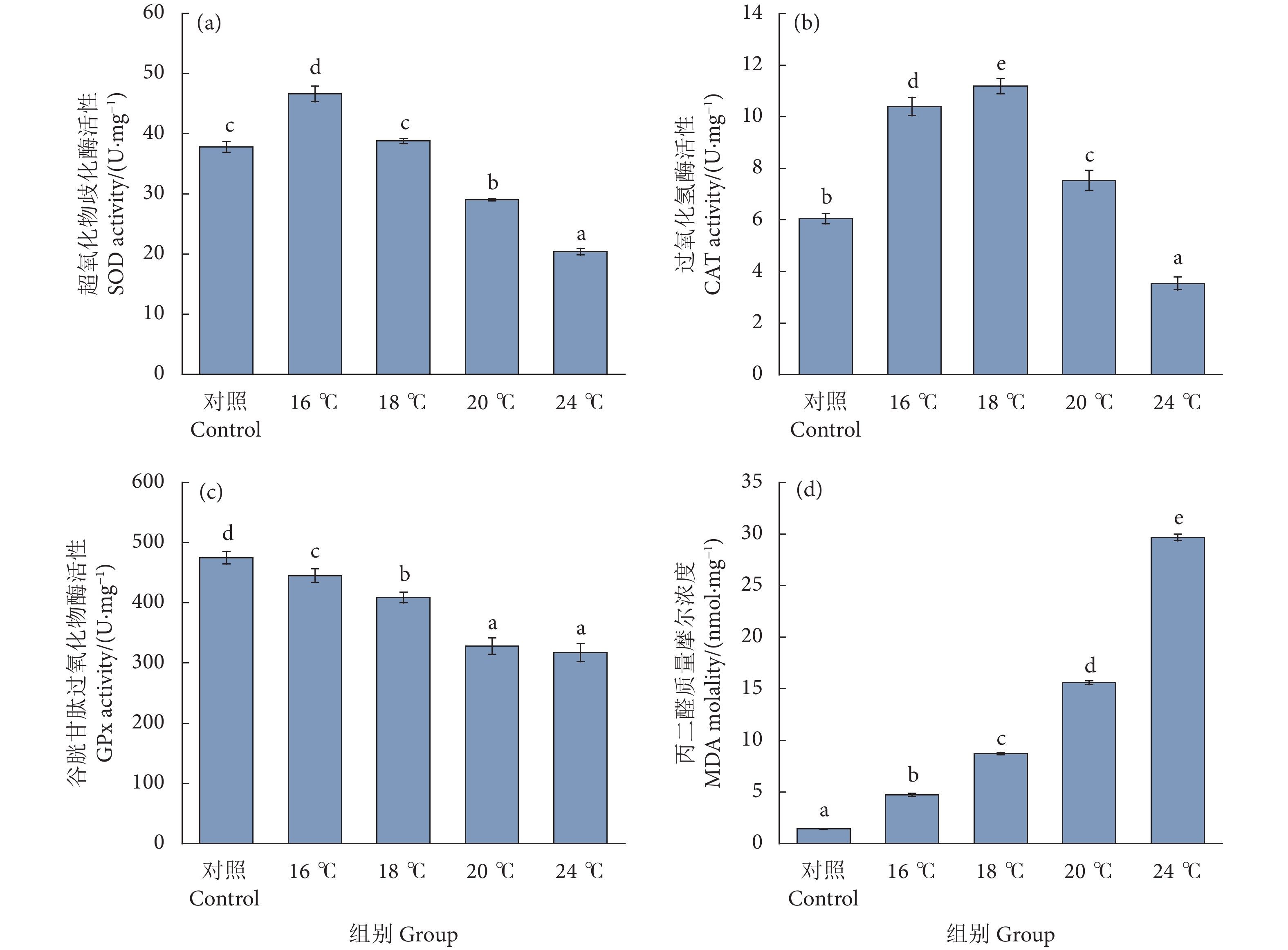
  • 摘要: 探究珍珠龙胆石斑鱼 (Epinephelus fuscoguttatus ♀×E. lanceolatus ♂) 最佳暂养温度,可为该鱼的保活流通提供理论依据。以0.5~1.0 ℃·h−1的速率将石斑鱼的暂养水温降至24、20、18和16 ℃,观察降温过程中石斑鱼的生理反应,测定暂养过程中的水质变化及鱼体保活时间、非特异性免疫和抗氧化等指标。结果显示,在24~16 ℃时石斑鱼的存活时间随暂养温度的降低呈上升趋势,水温维持在16 ℃时,水体中总氨氮 (TAN) 质量浓度增速较缓,鱼体存活时间最长 (109 h)。不同水温下暂养48 h后,鱼体非特异性免疫和抗氧化能力均受到不同程度的影响。与暂养前相比,16 ℃组石斑鱼血清非特异性免疫指标中补体蛋白3 (C3)、球蛋白 (GLB) 和总蛋白 (TP) 质量浓度显著上升,其余指标均无显著变化;肝脏组织中超氧化物歧化酶 (SOD) 和过氧化氢酶 (CAT) 活性显著升高,谷胱甘肽过氧化物酶 (GPx) 活性显著降低,但明显高于其他温度组,丙二醛 (MDA) 水平显著低于其他温度组。16 ℃暂养不仅能保持较好的水质,同时也能降低鱼体代谢水平,维持机体内环境稳态,从而降低氧化应激反应造成的损伤,适合作为珍珠龙胆石斑鱼的暂养和运输温度。

     

    Abstract: Investigating the best acclimation temperature conditions for Epinephelus fuscoguttatus ♀×E. lanceolatus ♂ can provide a theoretical basis for its survival and circulation. We decreased the water temperature to 24, 20, 18 and 16 ℃ at the rate of 0.5−1.0 ℃·h−1, then recorded the physiological responses and survival time, as well as the changes of water quality, non-specific immune index and antioxidant indicator. The results show that the survival time of the grouper increased with the decrease of temperature within the range of 24−16 ℃. When the water temperature was maintained at 16 ℃, the concentration of total ammonia nitrogen (TAN) increased slowly, and the survival time was the longest, up to 109 h. The non-specific immune and antioxidant parameters changed after the grouper being cultured at different temperatures for 48 h. Compared with the control group, the contents of complement protein 3 (C3), globulin (GLB) and total protein (TP) increased in 16 ℃ group significantly, while the other indexes had no significant changes. The activities of superoxide dismutase (SOD) and catalase (CAT) in the liver tissue in 16 ℃ group increased significantly. However, the activity of glutathione peroxidase (GPx) decreased significantly, but higher than those of the other temperature groups. Compared with the other temperature treated groups, the content of malondialdehyde (MDA) decreased significantly. Thus, 16 ℃ temporary culture can not only maintain good water quality, but also reduce the metabolic level of fish and maintain the homeostasis of internal environment, so as to reduce the damage caused by oxidative stress reaction. It is suitable for temporary culture and transportation of Epinephelus fuscoguttatus ♀×E. lanceolatus ♂.

     

/

返回文章
返回