冷应激对黑鲷组织损伤及细胞凋亡基因表达的影响

Effects of cold stress on black porgy tissue injury and apoptosis gene expression

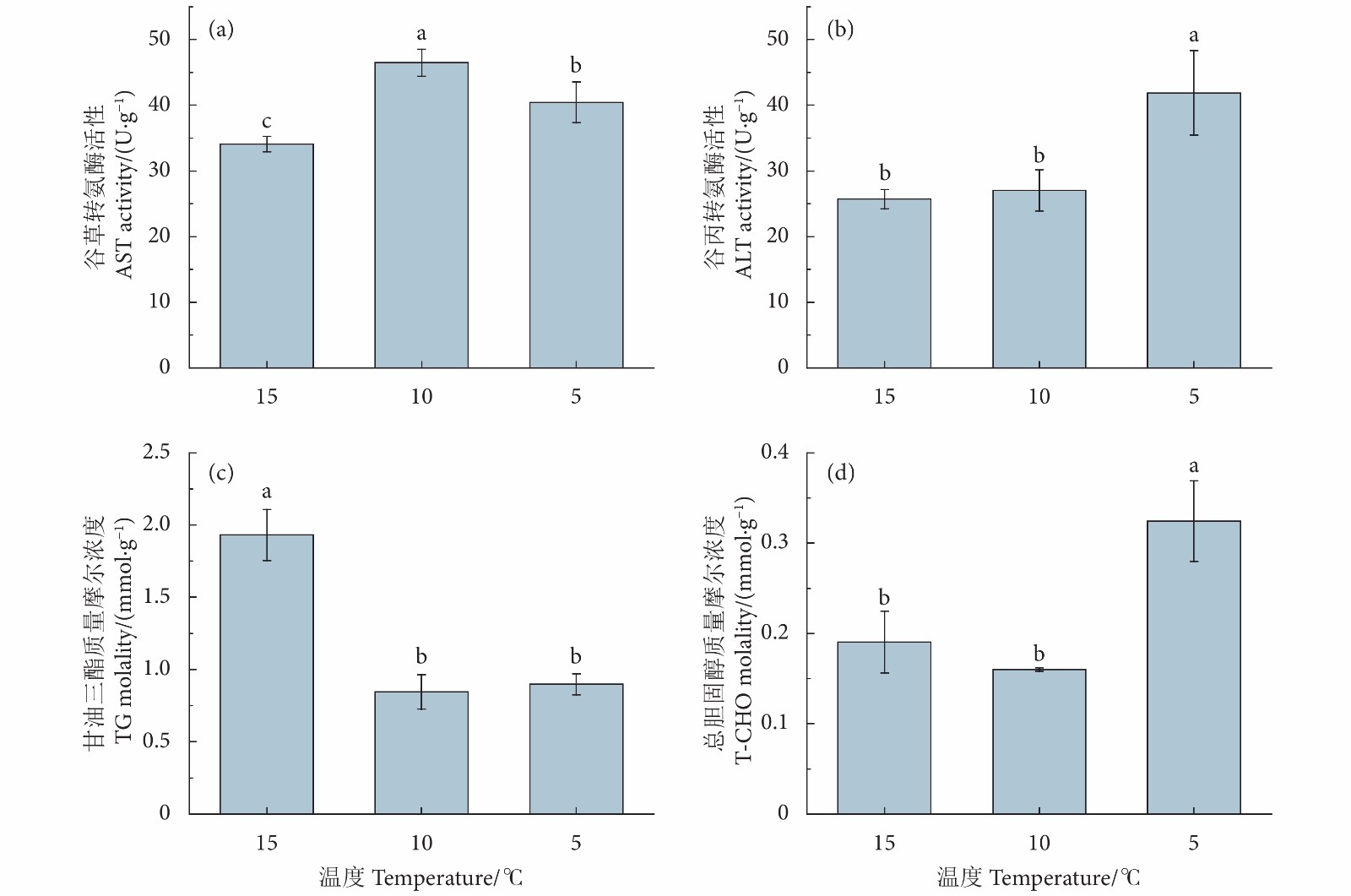
  • 摘要: 为探究黑鲷 (Acanthopagrus schlegelii) 在低温下的生理适应机制,设计了3个温度梯度 (15、10和5 ℃),以15 ℃为对照,低温胁迫24 h,分别研究了冷应激前后黑鲷的组织结构变化、生理生化反应及凋亡基因的表达。结果显示,随着温度的降低,黑鲷呈现出肝脏空泡化、腮小片收缩、肌纤维断裂等组织损伤现象;肝脏中的甘油三酯 (TG) 含量显著降低 (P<0.05),谷草转氨酶 (AST)、谷丙转氨酶 (ALT) 活性和总胆固醇 (T-CHO) 含量显著升高 (P<0.05),表明黑鲷遭受冷应激,肝脏功能紊乱、结构遭到破坏。q-PCR结果显示,10 ℃时黑鲷通过降低apaf-1、baxcaspase-1基因表达量,促进caspase-3、diablo基因表达,从而减少肝脏细胞丢失来降低冷应激的损伤;胁迫至5 ℃时,温度超过黑鲷自身生理调节阈值,肝脏细胞受损程度加重,黑鲷促进apaf-1、bcl-2和diablo基因表达,抑制caspase-3基因表达,最大限度维持了肝脏细胞的稳态。结果表明,随着温度的降低,黑鲷的肝脏、腮、肌肉损伤加重,其中肝脏通过调节AST、ALT、T-CHO、TG以及凋亡基因表达,以减少组织损伤带来的危害。

     

    Abstract: In order to explore the physiological adaptation mechanism of black porgy (Acanthopagrus schlegelii) under low temperature stress, we designed three temperature gradient groups (15, 10 and 5 ℃). Taking 15 ℃ as the control group and with a low temperature stress for 24 h, we studied the tissue structure changes, physiological, biochemical reactions and the expression of apoptosis genes before and after the cold stress. The results show that with the intensification of low temperature stress, the tissue damage such as liver vacuolation, gill lamellae contraction and breakage and muscle fiber breakage were aggravated. The content of triglyceride (TG) in the liver decreased significantly, while the activities of aspartate aminotransferase (AST) and alanine aminotransferase (ALT) as well as the content of total cholesterol (T-CHO) increased significantly, indicating that A. schlegelii had suffered from liver dysfunction and structural damage under cold stress condition. At 10 ℃, the liver reduced the damage of cold stress by decreasing expression levels of apaf-1, bax and caspase-1 genes, increasing expression of caspase-3 and diablo genes so as to reduce the loss of liver cells. When the temperature reached 5 ℃, the temperature exceeded A. schlegelii's physiological regulation threshold, so the degree of liver cell damage was aggravated. The expression of apaf-1, bcl-2 and diablo genes were promoted, while the caspase-3 gene expression was inhibited in order to maintain the homeostasis of liver cells to the greatest extent. It is showed that as the temperature decreased, the liver, gills and muscle damages of A. schlegelii increased. The liver regulated the expression of AST, ALT, T-CHO, TG and apoptotic pathway related genes to reduce the damage caused by tissue damage.

     

/

返回文章
返回