红腹海参消化道指标、组织学和酶活性的季节变化

Seasonal variatons of digestive tract index, histology characteristics and enzyme activity of Holothuria edulis

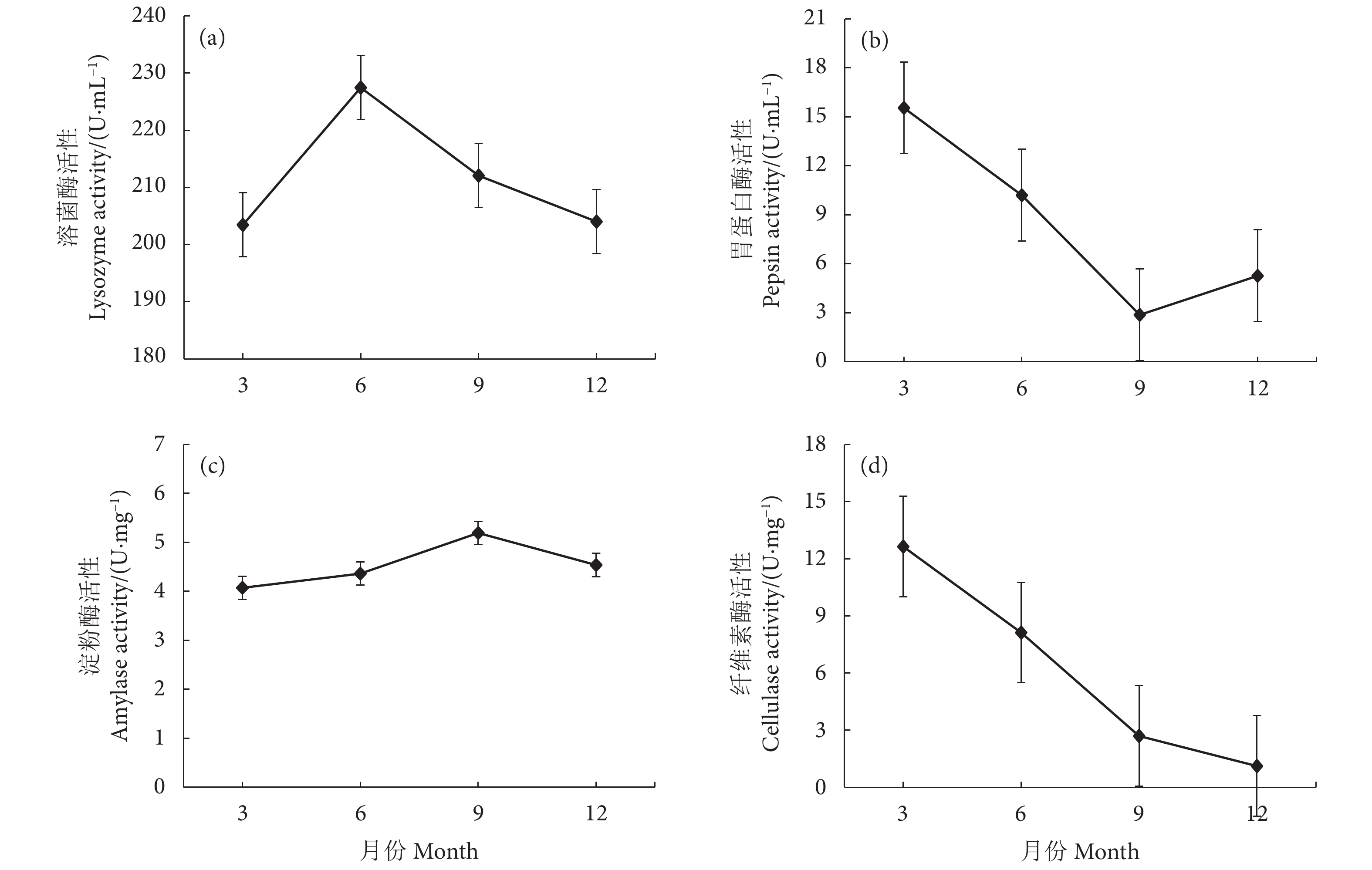
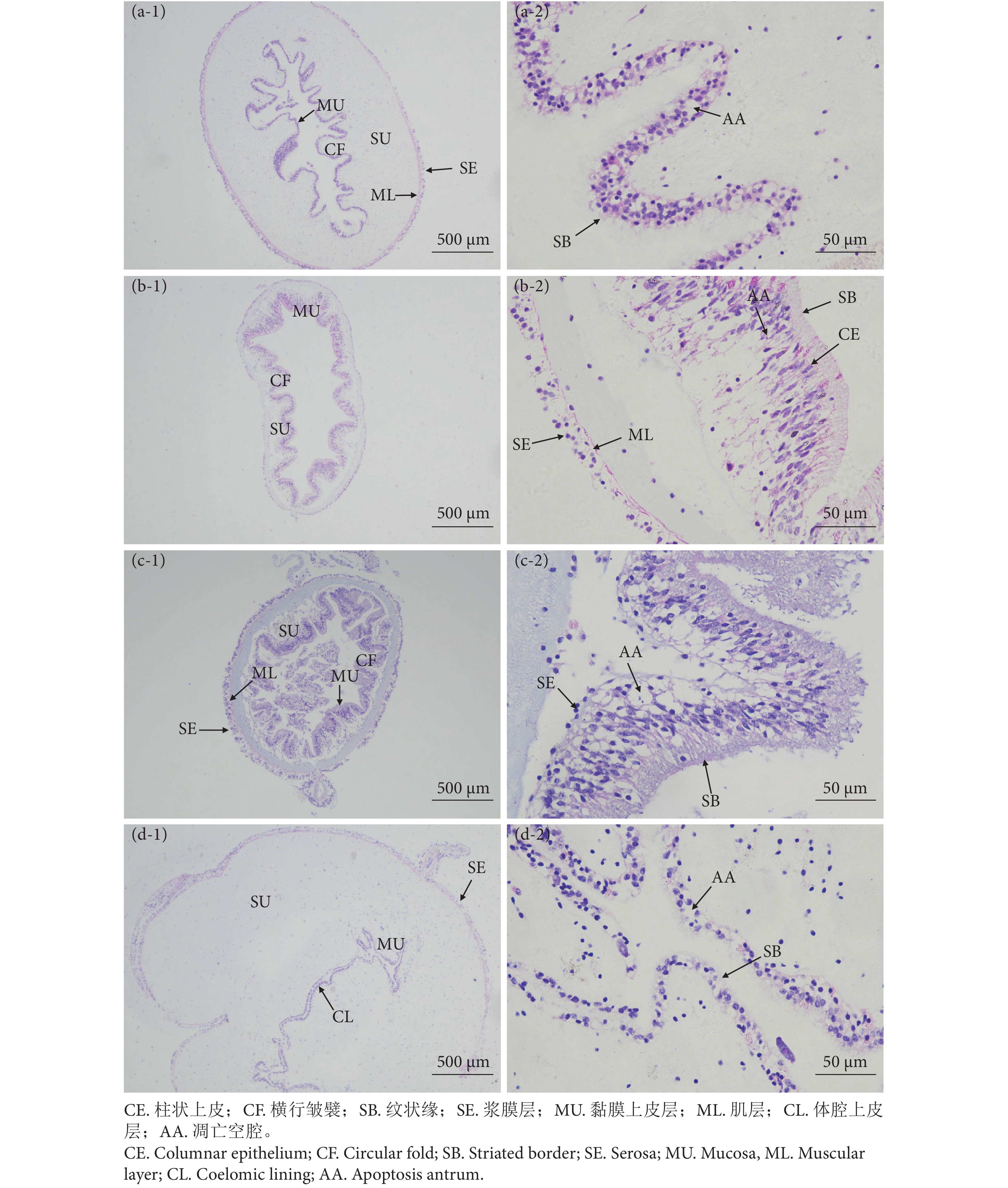
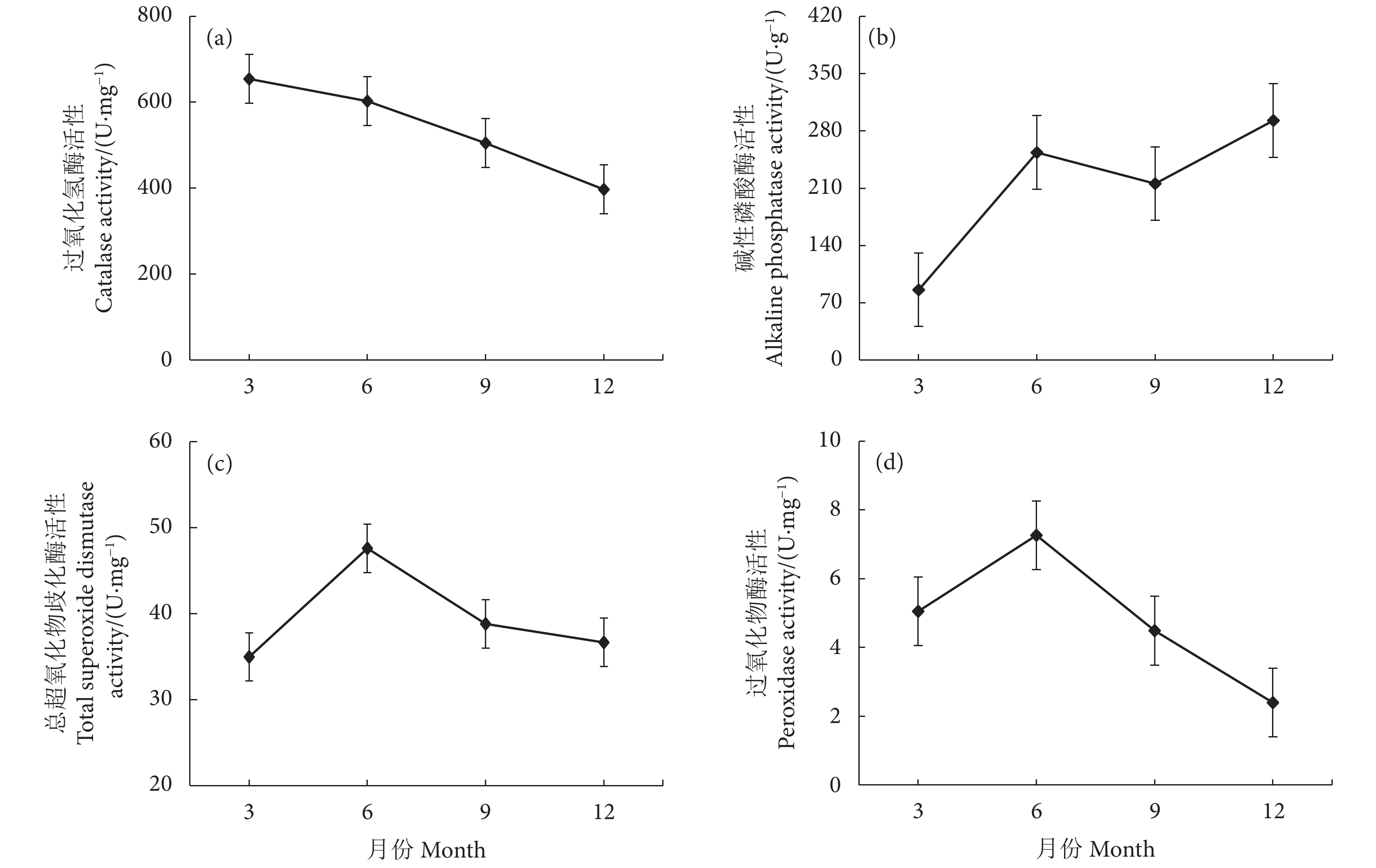
  • 摘要: 为揭示热带海参环境适应调节机制,为其人工增养殖提供科学依据,探究了红腹海参 (Holothuria edulis) 摄食和生理状况随时间的变化,对不同季节海参的消化道指标、组织学和酶活性变化进行了跟踪监测。结果表明,春、夏季红腹海参的摄食比较旺盛,冬季出现了与刺参 (Stichopus japonicus) 夏眠相似的特性——体质量下降,消化道组织萎缩、细胞凋亡而出现大量空腔,横行皱襞厚度降低、肠壁结构中的柱状上皮密集程度下降。消化道的消化酶和免疫酶分别在3和6月活性最高,而在12月各项酶 (除调节代谢的碱性磷酸酶外) 活性则均处于低值,因此判断红腹海参具有冬眠现象。

     

    Abstract: To reveal the environmental regulation mechanism and aquaculture of tropical sea cucumber, and provide scientific basis for its artificial breeding, we studied the seasonal variations of physiological and biochemical conditions of Holothuria edulis, monitored the changes of the digestive tract index, histology characteristics and enzyme activities of H. edulis. Results show that the feeding state of H. edulis was relatively vigorous in spring and summer, and exhibited similar characteristics to Stichopus japonicus's aestivation in winter, which is characterized by decline of body mass, atrophy of digestive tract tissue, emergence of a large number of cavities due to cell apoptosis, decrease of the thickness of transverse folds and decrease of the density of columnar epithelium in the intestinal wall structure. The digestive enzymes and immune enzymes activities of the digestive tract tissues were the highest in March and June, respectively. In December, except for the alkaline phosphatase activity that regulates metabolism, all the others were at low values. Therefore, it is preliminarily judged that H. edulis have hibernation phenomenon.

     

/

返回文章
返回