盐度胁迫对红娇凤凰螺耗氧率、排氨率以及免疫相关酶活性的影响

Effects of salinity stress on oxygen consumption rate, ammonia excretion rate and immune-related enzyme activities of Strombus luhuanus

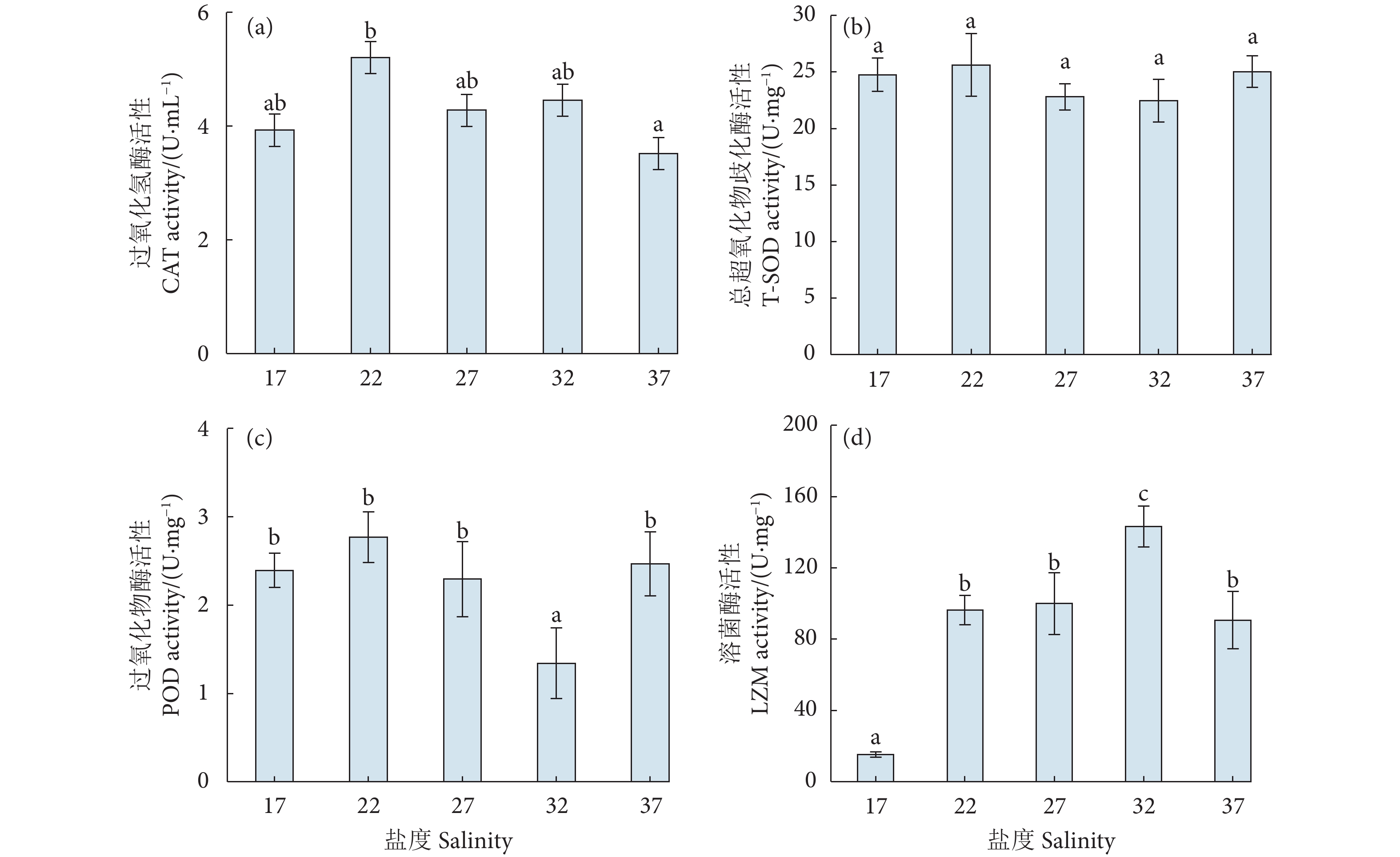
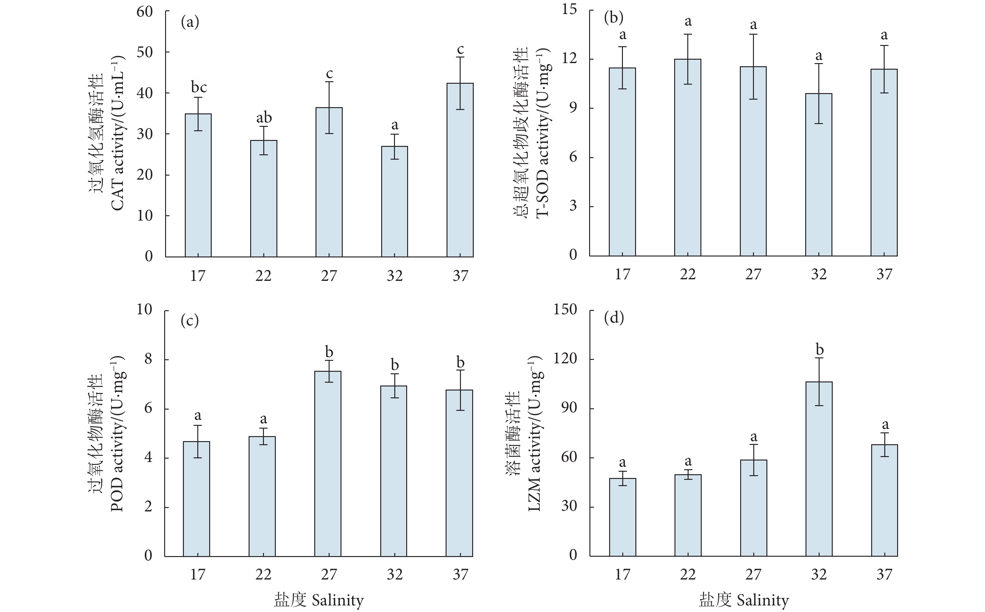
  • 摘要: 为探明红娇凤凰螺 (Strombus luhuanus) 对盐度变化的适应性,采用静水法研究了不同盐度 (17、22、27、32和37,其中32为对照组) 对红娇凤凰螺耗氧率、排氨率和免疫相关酶活性的影响。结果表明,对照组耗氧率和排氨率显著高于其他实验组 (P<0.05);各组间总超氧化物歧化酶 (T-SOD) 活性无显著差异 (P>0.05);与对照组相比,肝胰脏各实验组过氧化氢酶 (CAT) 活性均有不同程度地升高,而肌肉各实验组CAT活性与对照组差异均不显著 (P>0.05);对照组、盐度27和37组肝胰脏CAT活性均显著高于盐度17和22组 (P<0.05),而肌肉各实验组 CAT活性均显著高于对照组 (P<0.05);肝胰脏和肌肉各实验组溶菌酶 (LZM) 活性均显著低于对照组 (P<0.05)。研究表明,盐度胁迫对红娇凤凰螺耗氧率、排氨率以及免疫相关酶活性产生显著影响。

     

    Abstract: To investigate the adaptability of salinity stress of Strombus luhuanus, we studied the effects of different salinities 17, 22, 27, 32 (control group) and 37 on the oxygen consumption rate, ammonia excretion rate and immune-related enzyme activities of S. luhuanus by hydrostatic method. The results indicate that the oxygen consumption rate and ammonia excretion rate in the control group were significantly higher than those in the other groups (P<0.05). The activity of total superoxide dismutase showed no difference (P>0.05). Compared with the control group, the catalase activity in hepatopancreas groups increased to varying degrees, while the catalase activity in muscle groups was not significantly different (P>0.05). The peroxidase activities of hepatopancreas in the control group, salinity 27 and 37 groups were significantly higher than those in salinity 17 and 22 groups (P<0.05). The peroxidase activities of muscle in the experimental groups were significantly higher than that in the control group (P<0.05). The lysozyme activities of hepatopancreas and muscle in the control group were significantly higher than those in the other experimental groups (P<0.05). In summary, the oxygen consumption rate, ammonia excretion rate and activities of immune-related enzyme have significant effects on S. luhuanus under salinity stress.

     

/

返回文章
返回