二氧化碳麻醉对罗非鱼生理及品质的影响

Effect of carbon dioxide anesthesia on physiology and quality of tilapia

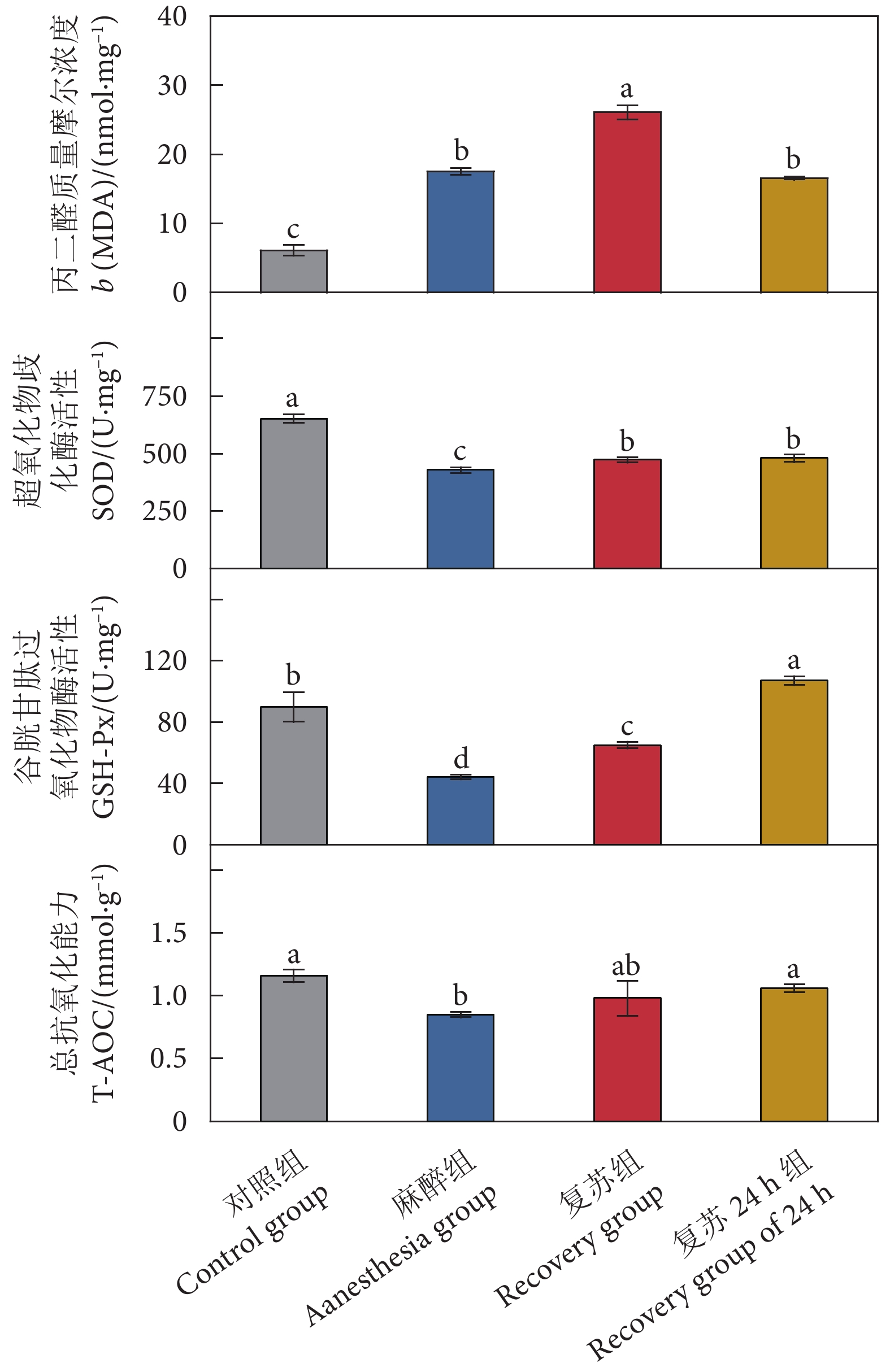
  • 摘要: 采用二氧化碳 (CO2) 对罗非鱼 (Oreochromis niloticus) 进行麻醉处理以减少其由操作过程引起的应激反应,分析了麻醉及复苏过程中罗非鱼生理及鱼肉品质的变化。探索不同处理温度的麻醉效果,确定了罗非鱼CO2麻醉的最佳温度为15 ℃,麻醉用时 (101±18) s,复苏用时 (134±23) s。CO2麻醉引起了罗非鱼血清皮质醇 (COR) 含量、血糖 (GLU) 浓度、谷草转氨酶 (AST) 、谷丙转氨酶 (ALT)和碱性磷酸酶 (ALP) 活性的显著升高,复苏后显著降低。糖原 (GLY) 含量显著降低,肝乳酸 (LD) 含量在麻醉复苏后达到最高点。麻醉使鱼体肌乳酸含量显著升高,胁迫解除后显著下降。麻醉后观察到罗非鱼肝脏丙二醛 (MDA) 含量升高,而超氧化物歧化酶 (SOD) 活性、谷胱甘肽过氧化物酶 (GSH-Px) 活性、总抗氧化能力 (T-AOC) 降低。鱼片硬度、胶着性、咀嚼性受CO2麻醉影响显著,复苏24 h后可恢复到对照水平,弹性水平基本保持稳定。研究表明,短时饱和CO2处理可以有效快速麻醉罗非鱼,麻醉处理引起了罗非鱼机体的氧化应激反应,胁迫解除后鱼体生理状态可得到恢复。

     

    Abstract: We used carbon dioxide (CO2) to anesthetize tilapia (Oreochromis niloticus) to reduce the stress response caused by operation, and analyzed the changes of physiology and meat quality of tilapia during anesthesia and resuscitation. By studying the anesthetic effects of different treatment temperatures, we found that the optimal temperature for CO2 anesthesia of tilapia was 15 ℃; the duration of anesthesia was (101±18) s; the duration of resuscitation was (134±23) s. The serum indexes of hydrocortisone (COR), blood glucose (GLU), aspartate aminotransferase (AST),  alanine aminotransferase (ALT) and alkaline phosphatase (ALP) increased significantly after anesthesia, but decreased after resuscitation. The glycogen (GLY) content decreased significantly after anesthesia, while the lactic acid (LD) content in liver reached the maximum value after resuscitation. The LD content in muscle increased during anesthesia but decreased when the stress was relieved. High malondialdehyde (MDA) content but low superoxide dismutase (SOD), glutathione peroxidase (GSH-Px) and total antioxidant capacity (T-AOC)  activity were observed during anesthesia. The hardness, adhesiveness and chewiness of the fillets were significantly affected by anesthesia, but could recover to the control group's level after 24 h, with stable flexibility. In conclusion, tilapia can be anesthetized effectively and quickly after CO2 anesthesia treatment; anesthesia treatment causes oxidative stress response of tilapia; and the physiological state of tilapia can be restored after stress was relieved.

     

/

返回文章
返回