紫红笛鲷Cyp1a基因克隆、表达及其对一溴联苯醚和十溴联苯醚胁迫的响应

Cloning and expression profiling of Cyp1a gene in Lutjanus argentimaculatus under 4-bromodiphenyl ether (BDE-3) and decabromodiphenyl ether (BDE-209) exposure

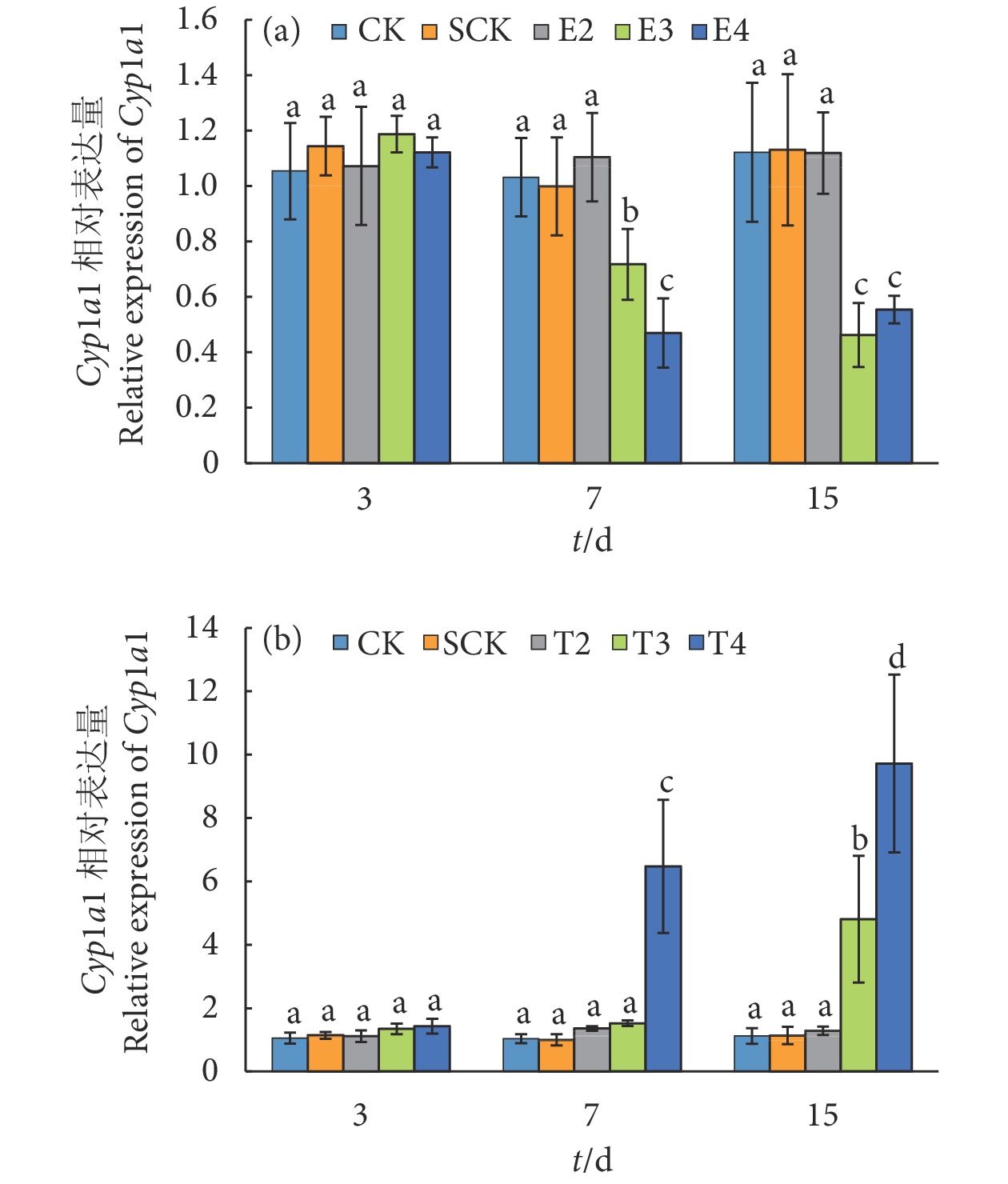
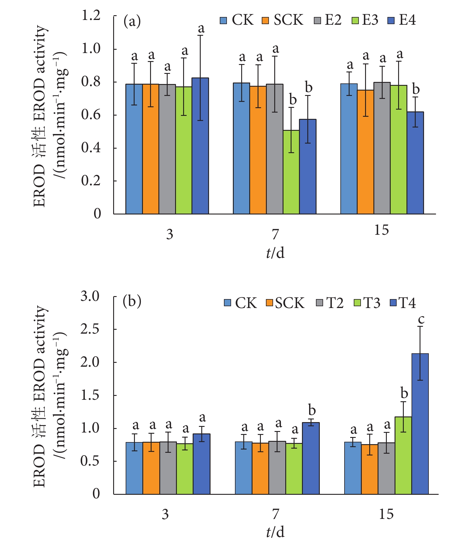
  • 摘要: 细胞色素P450酶 (Cytochrome P450, CYPs) 由P450基因编码,其中Cyp1a基因参与不同类型外源物质的生物转化和代谢。克隆了紫红笛鲷 (Lutjanus argentimaculatus) Cyp1a基因,对其组织表达模式进行分析,探讨了不同质量浓度 (10、50和250 μg·L−1) 一溴联苯醚 (4-bromodiphenyl ether, BDE-3) 和十溴联苯醚 (decabromodiphenyl ether, BDE-209) 胁迫对紫红笛鲷肝脏Cyp1a表达及7-乙氧基香豆素-O-脱乙基酶 (7-ethoxyresorufin O-deethylase, EROD) 活性的影响。结果表明,紫红笛鲷Cyp1a cDNA全长2540 bp,开放阅读框长1 566 bp,编码521个氨基酸。同源分析结果表明紫红笛鲷CYP1A与花鲈 (Lateolabrax maculatus) CYP1A蛋白相似性最高 (92.69%),进化树分析与白梭吻鲈 (Sander lucioperca) 聚为一支,进化地位最近。Cyp1a基因在紫红笛鲷肝脏表达量最高,其次是脑和鳃,肌肉最低。10 μg·L−1 BDE-3和BDE-209未对Cyp1a基因表达和EROD活性产生影响,而50和250 μg·L−1BDE-3胁迫7~15 d则对两者产生显著抑制,且呈现剂量效应。与BDE-3相反,50和250 μg·L−1 BDE-209 处理组Cyp1a基因表达和EROD活性显著增加,且Cyp1a基因表达与EROD活性呈显著正相关。高浓度BDE-3和BDE-209可对紫红笛鲷肝脏Cyp1a基因的表达产生影响,但两者的影响模式不同。

     

    Abstract: Cytochrome P450 enzymes (CYPs) are encoded by P450 genes, in which cytochrome P450 1A (Cyp1a) genes mainly involve in biotransformation and metabolism of numerous xenobiotics. In this study, we cloned the Cyp1a gene from Lutjanus argentimaculatus, and investigated its tissue expression pattern. In addition, we evaluated different concentrations (10, 50 and 250 μg·L−1) of BDE-3 and BDE-209 on Cyp1a gene profile and 7-ethoxyresorufin-O-deethylase (EROD) activity in liver of L. argentimaculatus. The results show that the full length of Cyp1a cDNA was 2 540 bp with 1 566 open reading frame encoding 521 amino acids. The sequence homology of L. argentimaculatus CYP1A was the highest (92.69%) with that of Lateolabrax maculatus. Phylogenetic analysis results indicate that CYP1A was closely aligned with Sander lucioperca protein. Cyp1a transcripts were most abundant in liver, followed by brain and gill, but lowest in muscle. 10 μg·L−1 of BDE-3 and BDE-209 showed no effects on both Cyp1a expression and EROD activity, while high concentrations (50 and 250 μg·L−1) of BDE-3 down-regulated both of them significantly in a concentration-dependent manner on 7th-15th day. In contrast, exposure to 50 and 250 μg·L−1 of BDE-209 resulted in increasing of hepatic Cyp1a level and EROD activity. Moreover, Cyp1a genes levels and EROD activities showed a good correlation. High concentrations of BDE-3 and BDE-209 can affect Cyp1a gene expression in liver of L. argentimaculatus in different manners.

     

/

返回文章
返回