南海北部沿岸鱼类分类学多样性的空间格局

Spatial pattern of fish taxonomic diversity along coastal waters in northern South China Sea

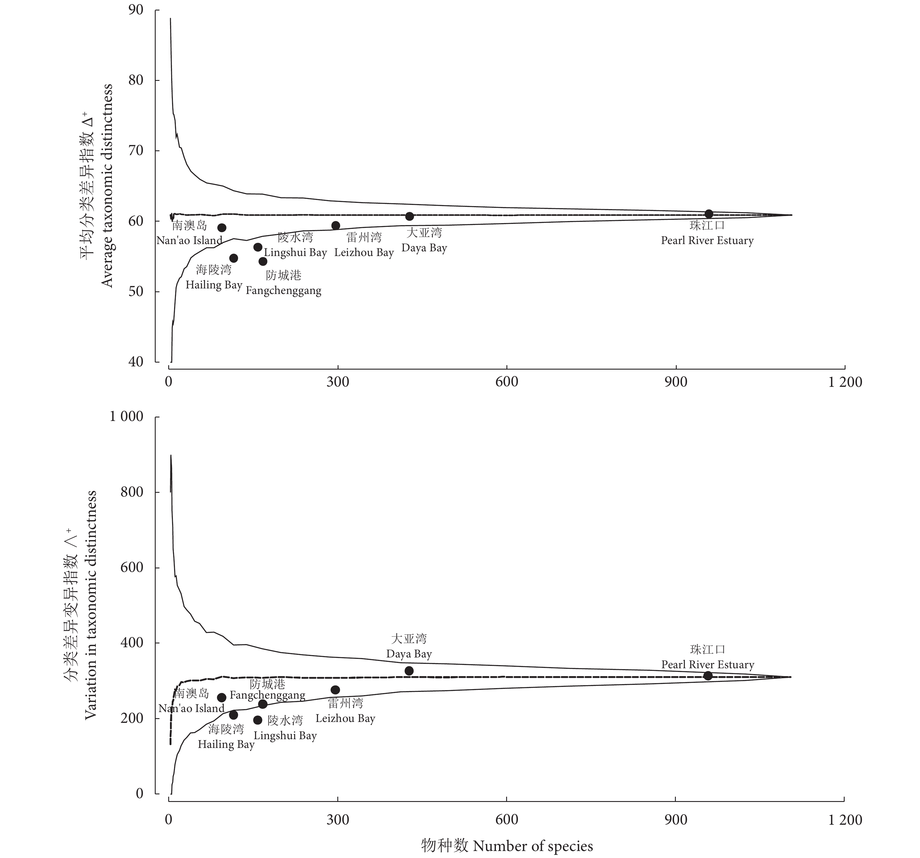
  • 摘要: 鱼类分类学多样性是鱼类多样性保护和群落稳定性分析的基础。采用2014—2017年在南海北部沿岸7处海域的渔业资源监测数据和相关文献资料,运用分类学多样性指数、分类学相异性指数和聚类分析等方法研究了鱼类的种类组成和分类学多样性的空间格局。结果表明:1) 7处海域共出现鱼类1 105种,以珠江口最多 (958种),南澳岛最少 (94种);2) 研究海域可划分为2个类群:类群Ⅰ为雷州湾、珠江口、大亚湾,分类学多样性水平高;类群Ⅱ为陵水湾、南澳岛、海陵湾和防城港,多样性较低;3) 总体平均分类差异指数 (Average taxonomic distinctness index, ∆+) 变化幅度较小 (54.3~61.04),随纬度的增加而变大,但趋势不明显;4) 陵水湾、海陵湾和防城港的∆+均落在漏斗外。综上,在较大尺度上,研究海域鱼类物种热带-亚热带特征明显,∆+总体呈渤海>黄海>东海>南海的趋势;陵水湾、海陵湾和防城港有生境退化的迹象,因此定期进行渔业监测研究十分必要。

     

    Abstract: Fish taxonomic diversity is the basis of fish diversity protection and community stability analysis. Based on the monitoring and historical data of fishery resources in seven coastal waters of the northern South China Sea (Leizhou Bay, Daya Bay, Pearl River Estuary, Lingshui Bay, Hailing Bay, Fangchenggang and Nan'ao Island) during 2014 to 2017, we analyzed the species composition and spatial pattern of fish taxonomic diversity by studying the taxonomic diversity index and taxonomic dissimilarity index, in addtion with a cluster analysis. The results show that: 1) A total of 1 105 fish species had been identified. The species richness was the greatest in the Pearl River Estuary (958 species) and the least in Nan'ao Island (94 species). 2) The seven waters can be divided into two groups: Group I (Leizhou Bay, Pearl River Estuary and Daya Bay) had high taxonomic diversity and uneven genetic relationship; Group II (Lingshui Bay, Nan'ao Island, Hailing Bay and Fangchenggang) had low taxonomic diversity. 3) The variation range of average taxonomic distinctness index (∆+) in each water was small (54.3–61.04), and the variation of Δ+ was not positive with the increase of latitude. 4) The ∆+ of Lingshui Bay, Hailing Bay and Fangchenggang fell in the outside of the 95% confidence funnel. In conclusion, the tropical-subtropical characteristics of fish species in the surveyed area are generally obvious, with a decreasing trend of ∆+ of Bohai Sea>Yellow Sea>East China Sea>South China Sea; Lingshui Bay, Hailing Bay and Fangchenggang might have habitat degradation, which indicates that the research on fishery monitoring is necessary for the fishes biodiversity protection.

     

/

返回文章
返回