盐度和钠离子/钾离子对凡纳滨对虾幼虾存活与组织结构的影响

Effects of salinity and Na+/K+ ratio on survival and histological structure of Litopenaeus vannamei

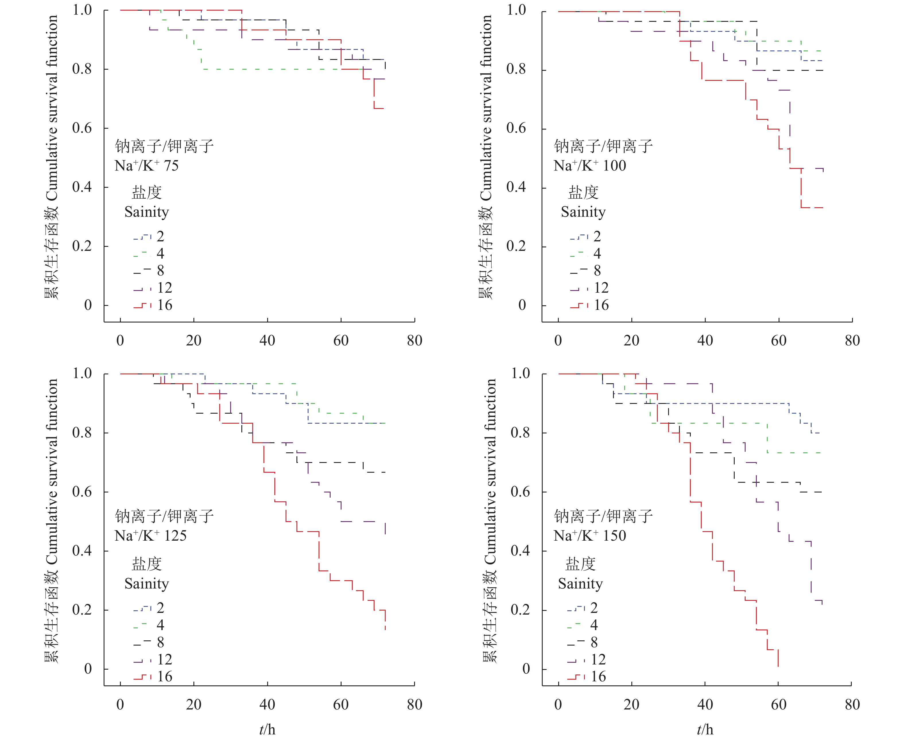
  • 摘要: 通过实验生态学方法,对体质量为 (1.35±0.37) g的凡纳滨对虾 (Litopenaeus vannamei) 幼虾开展了盐度 (2、4、8、12、16) 和钠离子/钾离子 (Na+/K+) (27、50、75、100、125、150) 双因素胁迫实验,分析其对凡纳滨对虾的72 h成活率及肝胰腺和肌肉组织结构的影响。结果显示,在Na+/K+大于75的条件下,凡纳滨对虾的成活率随盐度的增加而降低;在盐度大于8的条件下,凡纳滨对虾的成活率随Na+/K+的降低而升高。在Na+/K+为27~75条件下,凡纳滨对虾的成活率均大于66.67%。Na+/K+为100条件下,凡纳滨对虾在盐度12和16下的半致死时间 (LT50) 分别为69.78和60.15 h。Na+/K+为125条件下,盐度8、12和16下的LT50分别为76.23、62.61和49.10 h。Na+/K+为150条件下,盐度4、8、12和16下的LT50分别为87.24、68.65、59.4和39.95 h。双因素方差分析表明,Na+/K+、盐度与凡纳滨对虾幼虾第72小时的成活率存在显著交互作用。组织切片显示,当盐度大于8时,高Na+/K+对肌肉和肝胰腺组织结构产生明显影响,主要表现为细胞空泡化或自溶,组织细胞间隙变大、解体,且组织结构损伤程度随盐度的上升而加重。

     

    Abstract: By using method of experimental ecology, we studied the effects of salinity (2, 4, 8, 12, 16) and Na+/K+ (27, 50, 75, 100, 125 and 150) ratio on 72 h survival rate, hepatopancreas and muscle structure of Litopenaeus vannamei juveniles with body mass of (1.35 ± 0.37) g under experimental condition. The results show that survival rate of L. vannamei decreased with increasing salinity when the Na+/K+ ratio was above 75. In addition, when the water salinity was over 8, the survival rate increased with decreasing Na+/K+ ratio. The survival rate of L. vannamei was above 66.67% when the Na+/K+ ratio was 27−75. When the Na+/K+ ratio was 100, the half lethal time (LT50) of L. vannamei was 69.78 and 60.15 h at salinity of 12 and 16, respectively. When the Na+/K+ ratio was 125, the LT50 at salinity of 8, 12 and 16 was 76.23, 62.61 and 49.10 h, respectively. When the Na+/K+ ratio was 150, the LT50 at salinity of 4, 8, 12 and 16 was 87.24, 68.65, 59.4 and 39.95 h, respectively. Based on the two-factor variance analysis, the 72 h survival rate of L. vannamei was significantly influenced by salinity, Na+/K+ ratio and their interactions (P<0.001). Histopathology observation reveals that high Na+/K+ ratio can cause abnormal histological change in shrimp muscle and hepatopancreas, such as cell vacuolation or autolysis, larger intercellular space, fuzzy and disordered boundary between tissues. In general, potassium deficiency can aggravate the tissue injury of L. vannamei with higher salinity.

     

/

返回文章
返回