不同碳氮比对中华草龟养殖水体生物絮团形成、水质及菌群结构的影响

Effects of different C/N ratios on formation of biofloc, water quality and microflora in aquaculture water of Chinemys reevesii

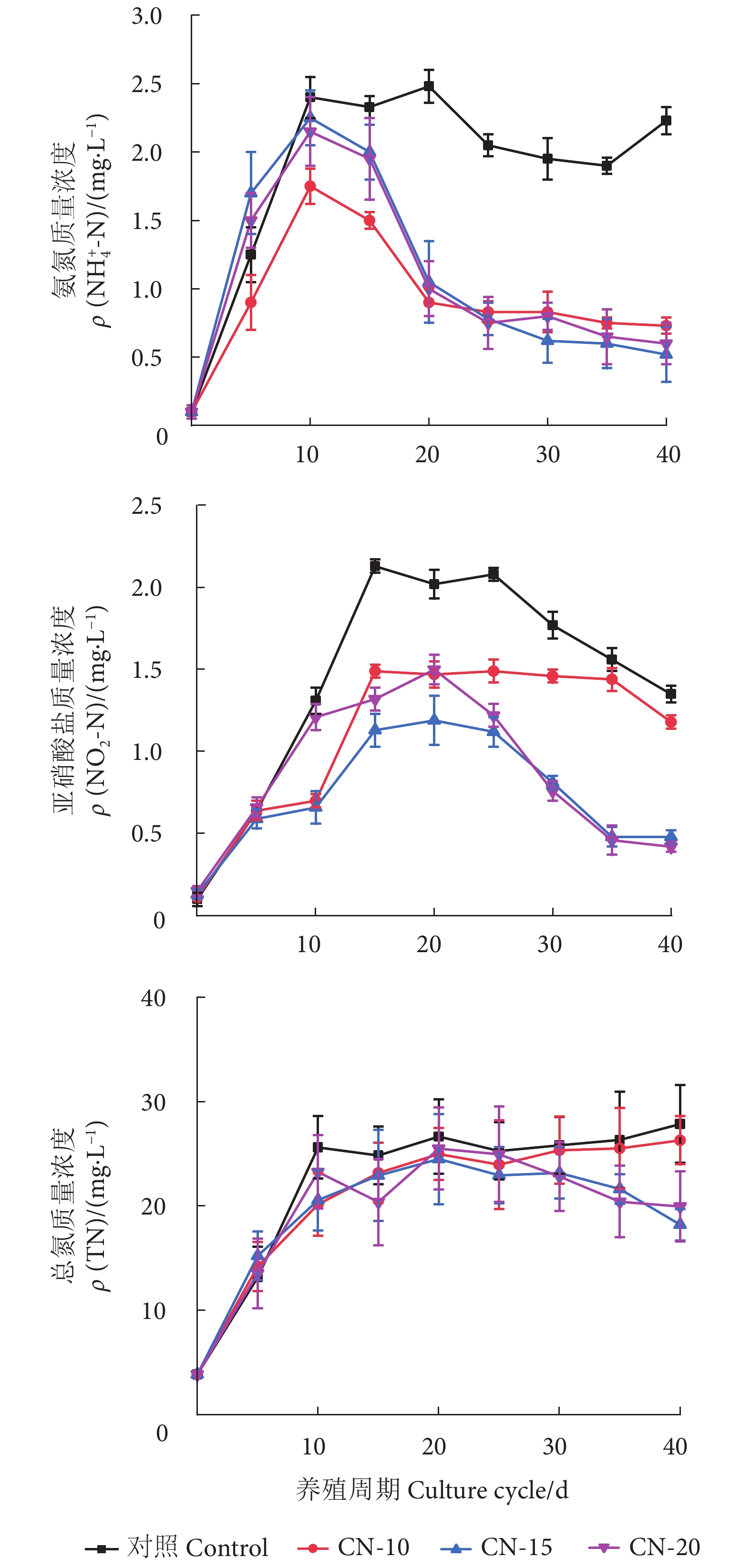
  • 摘要: 为探讨生物絮团技术应用于龟鳖类养殖中的可行性,并确定其最佳添加量,通过调控中华草龟 (Chinemys reevesii) 养殖水体中的碳氮比(质量比),分析生物絮团形成及其对水质和菌落的影响。实验以添加蔗糖设计碳氮比为10∶1 (CN-10)、15∶1 (CN-15)、20∶1 (CN-20) 的实验组和对照组 (CG),进行为期40 d的养殖。结果显示,各组生物絮团体积指数 (FVI) 随碳氮比的增加而增大,在28 d后趋于稳定;碳氮比≥10时氨氮和亚硝酸盐处理效果显著,其中CN-15组40 d后氨氮和亚硝酸盐的去除率分别为76.7%和64.4%。碳氮比为15∶1时能促进龟池生物絮团的形成,并可有效降低水中氨氮、亚硝酸盐水平。对实验组 (CN-15) 与对照组的生物絮团进行高通量测序,发现2种水体中生物絮团的优势菌门均为变形菌门、拟杆菌门、放线菌门,但各优势菌门占比有所差异。研究表明,添加不同碳氮比可影响中华草龟养殖水体生物絮团的形成、水质和菌群结构。碳氮比为15∶1是形成生物絮团的最适比例,在促进生物絮团形成的同时,对水质也具有较强的调节能力。

     

    Abstract: In order to determine the feasibility and the best addition amount of biofloc technology in turtle culture, we studied the formation of biofloc and its effects on water quality and microflora by regulating the C/N ratio in the culture water of Chinemy sreevesii. We carried out an experiment with the addition of sucrose at 10∶1 (CN-10), 15∶1 (CN-15), 20∶1 (CN-20) and the control group for 40 d. The results show that the biofloc volume index of each group of biofloc became stable after 28 d, and the treatment effect of ammonia nitrogen and nitrite was significant with the C/N ratio≥10∶1. Among them, the removal rate of ammonia nitrogen and nitrite after 40 d of the group with a C/N ratio of 15∶1 were 76.7% and 64.4%, respectively, which indicates that the C/N ratio of 15∶1 can promote the formation of biofloc, and reduce the level of ammonia nitrogen and nitrite in the water effectively. The biological flocs of the experimental group (CN-15) and the control group were sequenced by high-throughput sequencing, and the results show that the dominant phyla of biofloc in the two water bodies were Proteobacteria, Bacteroidetes and Actinobacteria, but the proportion of each dominant bacteria phylum was different. In conclusion, the addition of different C/N ratios can affect the formation of biofloc, water quality and microflora of C. reevesii ponds. 15∶1 is the optimal C/N ratio for the formation of biofloc, which can promote the formation of biofloc and has a strong ability to regulate water quality.

     

/

返回文章
返回